Online Database of Chemicals from Around the World

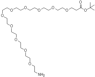
33-Amino-4,7,10,13,16,19,22,25,28,31-decaoxatritriacontanoic acid 1,1-dimethylethyl ester
[CAS# 1818294-42-6]

Identification
Name 33-Amino-4,7,10,13,16,19,22,25,28,31-decaoxatritriacontanoic acid 1,1-dimethylethyl ester
Molecular Structure CAS # 1818294-42-6, 33-Amino-4,7,10,13,16,19,22,25,28,31-decaoxatritriacontanoic acid 1,1-dimethylethyl ester
Molecular Formula C27H55NO12
Molecular Weight 585.73
CAS Registry Number 1818294-42-6
Properties
Solubility Very soluble (1000 g/L) (25 ºC), Calc.*
Density 1.074±0.06 g/cm3 (20 ºC 760 Torr), Calc.*
Boiling point 606.9±50.0 ºC (760 Torr), Calc.*
Flash point 82.3±26.4 ºC, Calc.*
* Calculated using Advanced Chemistry Development (ACD/Labs) Software V11.02 (©1994-2019 ACD/Labs)
Market Analysis Reports
List of Reports Available for 33-Amino-4,7,10,13,16,19,22,25,28,31-decaoxatritriacontanoic acid 1,1-dimethylethyl ester
Related Products
(2R,6S,12Z,13aS,14aR,16aS)-6-Amino-N-(cyclopropylsulfonyl)-1,2,3,6,7,8,9,10,11,13a,14,15,16,16a-tetradecahydro-5,16-dioxo-2-(6-phenanthridinyloxy)-cyclopropa[e]pyrrolo[1,2-a][1,4]diazacyclopentadecine-14a(5H)-carboxamide hydrochloride (1:1)  (1R,2S)-1-Amino-N-(cyclopropylsulfonyl)-2-vinylcyclopropanecarboxamide hydrochloride  5-Amino-3-cyclopropyl-1-(tert-butyl)pyrazole  2-Amino-4-cyclopropylthiazole  2-Amino-4-cyclopropyl-5-thiazolecarboxylic acid methyl ester  Aminocyclopyrachlor  N4-Aminocytidine  D-2-Aminodecanoic acid  L-2-Aminodecanoic acid  2-Aminodecanoic acid  7-Amino-6-demethyl-6-deoxytetracycline  2'-Amino-2'-deoxyadenosine  2-Amino-2-deoxy-D-allopyranose hydrochloride  1-Amino-1-deoxy-D-arabinitol  5-Amino-5-deoxy-D-arabinitol hydrobromide  1-Amino-1-deoxy-L-arabinitol hydrochloride  2'-Amino-2'-deoxycytidine  2-Amino-2-deoxy-4-O-(4-deoxy-2-O-sulfo-alpha-L-threo-hex-4-enopyranuronosyl)-D-glucose 6-(hydrogen sulfate) trisodium salt  4-Amino-1-(2-deoxy-2,2-difluoro-alpha-D-erythro-pentofuranosyl)-2(1H)-pyrimidinone monohydrochloride  5'-Amino-5'-deoxy-N-[(1,1-dimethylethoxy)carbonyl]-2',3'-O-(1-methylethylidene)adenosine