Online Database of Chemicals from Around the World

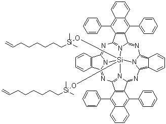
(OC-6-12)-双(二甲基-7-辛烯基硅烷醇)[8,13,24,29-四苯基-33H,35H-二苯并[b,l]二萘并[2,3-g:2',3'-q]四氮杂卟啉酸基]硅
[CAS# 183872-57-3]

基本信息
英文名 (OC-6-12)-Bis(dimethyl-7-octenylsilanolato)[8,13,24,29-tetraphenyl-33H,35H-dibenzo[b,l]dinaphtho[2,3-g:2',3'-q]porphyrazinato]silicon
产品名称 (OC-6-12)-双(二甲基-7-辛烯基硅烷醇)[8,13,24,29-四苯基-33H,35H-二苯并[b,l]二萘并[2,3-g:2',3'-q]四氮杂卟啉酸基]硅
分子结构 CAS 登录号:183872-57-3, (OC-6-12)-双(二甲基-7-辛烯基硅烷醇)[8,13,24,29-四苯基-33H,35H-二苯并[b,l]二萘并[2,3-g:2',3'-q]四氮杂卟啉酸基]硅
分子式 C84H78N8O2Si3
分子量 1315.83
CAS 登录号 183872-57-3
市场分析报告
请浏览(OC-6-12)-双(二甲基-7-辛烯基硅烷醇)[8,13,24,29-四苯基-33H,35H-二苯并[b,l]二萘并[2,3-g:2',3'-q]四氮杂卟啉酸基]硅市场分析报告总目录
相关产品
Oblongine  Obolactone  Obscurolide A1  钝叶扁柏氨基甲酸酯 A  钝叶扁柏氨基甲酸酯 B  决明素  (OC-6-22)-二(乙腈)四溴铼  (OC-6-22)-二(2,2'-联吡啶-N,N')[1,1'-[[2,2'-联吡啶]-4,4'-二基二(羰基氧基)]二[2,5-吡咯烷二酮]]-钌二[六氟磷酸盐]  (OC-6-13)-二[3-[二(1,1-二甲基乙基)膦基]-1-丙胺]二氯化钌  (OC-6-31)-二(二丁基二硫代氨基甲酸基-S,S')(吗啉-N4,O1)-锌  (OC-6-12)-二(N,N-二甲基-1,3-丙二胺-N')[2,3,16,17-四氢-29H,31H-二苯并[b,l]二[1,4]二噻英并[2,3-g:2',3'-q]四氮杂卟啉酸基-N29,N30,N31,N32]钴  (OC-6-22)-[(3R)-4,4'-双(二苯基膦基)-2,2',6,6'-四甲氧基-3,3'-联吡啶]双(2,4-戊二酮)钌  (OC-6-33)-二氯二羟基二(3-甲基-1-丁胺)铂  (OC-6-13)-(3-苯基-1H-茚-1-亚基)双(吡啶)(三环己基膦)二氯化钌  (OC-6-11)-六氯二氢铂酸与2,4,6,8-四乙烯基-2,4,6,8-四甲基环四硅氧烷的反应产物  (OC-6-11)-六氨合三氯化钌与氢氧化铵的反应产物  (OC-6-11)-六(1-丙基-1H-咪唑-N3)锰二溴化物  金银花双黄酮  赭曲霉素  (±)-Ochromycinone