Online Database of Chemicals from Around the World

Arabinohexaose
[CAS# 190852-26-7]

List of Suppliers
Carbosynth China Ltd. China Inquire  
+86 (512) 6260-5585
sales@carbosynth.com
QQ chat
Chemical manufacturer since 2006
chemBlink standard supplier since 2016
Complete supplier list of Arabinohexaose
Identification
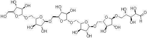
Name Arabinohexaose
Synonyms O-alpha-L-Arabinofuranosyl-(1→5)-O-alpha-L-arabinofuranosyl-(1→5)-O-alpha-L-arabinofuranosyl-(1→5)-O-alpha-L-arabinofuranosyl-(1→5)-O-alpha-L-arabinofuranosyl-(1→5)-L-arabinose
Molecular Structure CAS # 190852-26-7, Arabinohexaose, O-alpha-L-Arabinofuranosyl-(1→5)-O-alpha-L-arabinofuranosyl-(1→5)-O-alpha-L-arabinofuranosyl-(1→5)-O-alpha-L-arabinofuranosyl-(1→5)-O-alpha-L-arabinofuranosyl-(1→5)-L-arabinose
Molecular Formula C30H50O25
Molecular Weight 810.70
CAS Registry Number 190852-26-7
EC Number 894-820-3
Properties
Solubility Sparingly soluble (14 g/L) (25 ºC), Calc.*
Density 1.77±0.1 g/cm3 (20 ºC 760 Torr), Calc.*
* Calculated using Advanced Chemistry Development (ACD/Labs) Software V11.02 (©1994-2016 ACD/Labs)
Market Analysis Reports
List of Reports Available for Arabinohexaose
Related Products
Arabinan  D-Arabinitol  Arabinobiose  1-beta-D-Arabinofuranosyl-5-bromouracil  9-beta-D-Arabinofuranosyl-2,6-diaminopurine  1-beta-D-Arabinofuranosyl-5-fluorouracil  9-beta-D-Arabinofuranosylguanine  1-beta-D-Arabinofuranosyl-5-iodouracil  7-(alpha-L-Arabinofuranosyloxy)-4-methyl-2H-1-benzopyran-2-one  O-alpha-L-Arabinofuranosyl-(1→3)-O-[beta-D-xylopyranosyl-(1→4)]-O-beta-D-xylopyranosyl-(1→4)-O-beta-D-xylopyranosyl-(1→4)-D-xylose  D-arabino-2-Hexulosonic acid  L-arabino-2-Hexulosonic acid  D-arabino-2-Hexulosonic acid calcium salt hydrate (2:1:?)  D-Arabinonic acid calcium salt (2:1)  D-Arabinonic acid gamma-lactone  Arabinopentaose  L-Arabinopyranose  D-Arabinopyranose  L-Arabinopyranose tetraacetate  alpha-D-Arabinopyranosyl azide