Online Database of Chemicals from Around the World

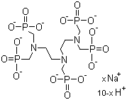
Diethylenetriaminepenta(methylenephosphonicacid) sodium salt
[CAS# 22042-96-2]

List of Suppliers
Kelien Water Purification Technology Co., Ltd. China Inquire  
+86 (519) 8366-1998
info@kelien.com
Chemical manufacturer
chemBlink standard supplier since 2005
Shandong Taihe Water Treatment Co., Ltd. China Inquire  
+86 (632) 511-3066
th@thwater.com
Chemical manufacturer
chemBlink standard supplier since 2008
Simagchem Corporation China Inquire  
+86 13806087780
sale@simagchem.com
Chemical manufacturer since 2002
chemBlink standard supplier since 2008
Changzhou Runyang Chemical Co., Ltd. China Inquire  
+86 (519) 8860-1518
pailove@sina.com
myabby@vip.qq.com
QQ chat
Chemical manufacturer since 1995
chemBlink standard supplier since 2009
Shandong Xintai Water-Treatment Co., Ltd. China Inquire  
+86 (632) 346-1066
xintaiwater@163.com
Chemical manufacturer
Complete supplier list of Diethylenetriaminepenta(methylenephosphonicacid) sodium salt
Identification
Classification Organic raw materials >> Organic phosphine compound
Name Diethylenetriaminepenta(methylenephosphonicacid) sodium salt
Synonyms DTPMP-Na
Molecular Structure CAS # 22042-96-2, Diethylenetriaminepenta(methylenephosphonicacid) sodium salt, DTPMP-Na
Molecular Formula C9H28N3O15P5.xNa
CAS Registry Number 22042-96-2
EC Number 244-751-4
Safety Data
Hazard Classification
up    Details
HazardClassCategory CodeHazard Statement
Substances or mixtures corrosive to metalsMet. Corr.1H290
Eye irritationEye Irrit.2H319
Skin irritationSkin Irrit.2H315
Chronic hazardous to the aquatic environmentAquatic Chronic4H413
Serious eye damageEye Dam.1H318
Skin corrosionSkin Corr.1BH314
Skin corrosionSkin Corr.1AH314
Market Analysis Reports
List of Reports Available for Diethylenetriaminepenta(methylenephosphonicacid) sodium salt
Related Products
Diethylene glycol ethyl methyl ether  Diethylene glycol-isophthalic acid-maleic anhydride-phthalic anhydride copolymer  Diethylene glycol monohexadecyl ether  Diethylene glycol monohexyl ether  Diethylene glycol phthalic anhydride polymer  Di(ethylene glycol) vinyl ether  Diethylenetriamine  Diethylenetriaminepentaacetic acid  Diethylenetriaminepenta(methylene-phosphonic acid)  Diethylenetriamine penta(methylene phosphonic acid) heptasaodium salt  (2R,3R)-Diethyl 2,3-epoxysuccinate  N,N-Diethylethanamine 2-chlorophenyl N-benzoyl-5'-O-[bis(4-methoxyphenyl)phenylmethyl]-2'-deoxy-3'-cytidylate  3,5-Diethyl 4-[2-[(1Z)-3-(1,1-dimethylethoxy)-3-oxo-1-propen-1-yl]phenyl]-1,4-dihydro-2,6-dimethyl-3,5-pyridinedicarboxylate  Diethyl 2-[[[3-(3,5-dimethyl-4-isoxazolyl)-4-(methyloxy)phenyl]amino]methylidene]propanedioate  Diethyl dimethylmalonate  N,N-Diethyl-N',N'-dimethyl-1,3-propanediamine  2,5-Diethyl-3,6-dimethylpyrazine  Diethyl 2,4-dimethylpyrrole-3,5-dicarboxylate  Diethyl 3,4-dimethylthieno[2,3-b]thiophene-2,5-dicarboxylate  N,N-Diethyl-N',N'-dimethylthioperoxydicarbonic diamide