Online Database of Chemicals from Around the World

苯甲酸离子通道 I
[CAS# 227092-22-0]

供应商目录
Alfa Chemistry 美国 询价快递  
+1 (201) 478-8534
inquiry@alfa-chemistry.com
化学品供销商 (2012年起)
chemBlink 标准供应商 (2012年起)
苯甲酸离子通道 I供应商总目录
基本信息
英文名 Benzoate Ionophore I
产品名称 苯甲酸离子通道 I
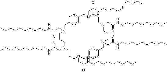
分子结构 CAS 登录号:227092-22-0, 苯甲酸离子通道 I
分子式 C100H184N12O6
分子量 1650.61
CAS 登录号 227092-22-0
物理化学性质
溶解度 极易溶解 (1000 g/L) (25 ºC), 计算值*
密度 0.960±0.06 g/cm3 (20 ºC 760 torr), 计算值*
* 使用计算软件 Advanced Chemistry Development (ACD/Labs) V11.02 (©1994-2015 ACD/Labs)
市场分析报告
请浏览苯甲酸离子通道 I市场分析报告总目录
相关产品
1,2-苯并异噁唑-3-甲磺酸钠盐  1,2-苯并异恶唑-3-醇  1,2-苯并异恶唑-6-醇  1,2-苯并异噁唑-3-乙酸  7H-苯并[kl]吖啶  4-苄氧基-3-甲氧基苯甲醛  苄硝唑  苯并-12-冠醚-4  苯并-15-冠醚-5  苯并-18-冠醚-6  苯甲酰苯巴比妥  14H-苯并[c][1]苯并噻吩并[2,3-a]咔唑  苯佐卡因  苯佐卡因盐酸盐  5H-苯并[b]咔唑  7H-苯并[c]咔唑  11H-苯并[c]咔唑  6H-苯并[cd]芘-6-酮  苯并[g]䓛$;$  苯佐他明盐酸盐