Online Database of Chemicals from Around the World

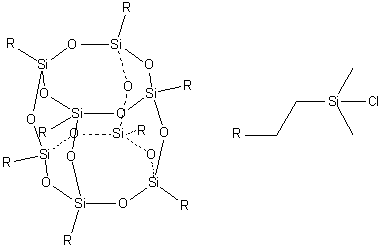
八[2-(氯二甲基硅烷基)乙基]八倍半硅氧烷
[CAS# 243146-51-2]

供应商目录
Alfa Chemistry 美国 询价快递  
+1 (201) 478-8534
inquiry@alfa-chemistry.com
化学品供销商 (2012年起)
chemBlink 标准供应商 (2012年起)
八[2-(氯二甲基硅烷基)乙基]八倍半硅氧烷供应商总目录
基本信息
英文名 Octakis[2-(chlorodimethylsilyl)ethyl]octasilsesquioxane
产品名称 八[2-(氯二甲基硅烷基)乙基]八倍半硅氧烷
分子结构 CAS 登录号:243146-51-2, 八[2-(氯二甲基硅烷基)乙基]八倍半硅氧烷
分子式 C32H80Cl8O12Si16
分子量 1389.96
CAS 登录号 243146-51-2
物理化学性质
密度 1.17±0.1 g/cm3 (20 ºC 760 torr), 计算值*
* 使用计算软件 Advanced Chemistry Development (ACD/Labs) V11.02 (©1994-2015 ACD/Labs)
市场分析报告
请浏览八[2-(氯二甲基硅烷基)乙基]八倍半硅氧烷市场分析报告总目录
相关产品
1-(八氢-3,6,8,8-四甲基-1H-3a,7-甲桥薁基)乙酮二去氢衍生物  八氢-7,7,8,8-四甲基-2,3b-甲桥-3bH-环戊二烯并[1,3]环丙烯并[1,2]苯-4-甲醇甲酸酯  1,2,3,4,4a,5,8,8a-八氢-2,2,6,8-四甲基-1-萘酚  1a,2,3,4,5b,11,11a,11b-八氢-10,11,11a-三羟基-3-甲基-苯并[3,4]蒽并[1,2-b]环氧乙烯-5,6-二酮  1,2,3,4,4a,5,6,7-八氢-2,5,5-三甲基-2-萘酚  2,3,4,5,6,7,8,9-八氢-1H-三茚  八(异丁基倍半硅氧烷)  1,3,5,7,9,11,13,15-八(3-氨基苯基)八倍半硅氧烷  八(苯胺基)八(苯硫基)酞菁氧钒  八-(6-溴-6-脱氧)-gamma-环糊精  二甲基硅烷基笼形聚倍半硅氧烷  2,3,9,10,16,17,23,24-八(辛氧基)-29H,31H-酞菁  三甲基硅烷基笼形聚倍半硅氧烷  八甲基环四硅氮烷  1,2,3,4,5,6,7,8-八甲基环四硅氮烷  八甲基环四硅氧烷  2,6,10,14,19,23,27,31-八甲基三十二烷  八甲基锗烷四胺  1,1',2,2',3,3',4,4'-八甲基二茂锰  八甲基焦磷酸四酰胺