Online Database of Chemicals from Around the World

新琼八糖
[CAS# 25023-94-3]

供应商目录
青岛博智汇力生物科技有限公司 中国 询价快递  
+86 (532) 8192-6227
ann@marine-oligo.com
化学品生产商 (2010年起)
chemBlink 标准供应商 (2016年起)
新琼八糖供应商总目录
基本信息
英文名 Neoagarooctaose
别名 D-O-3,6-Anhydro-alpha-L-galactopyranosyl-(1→3)-O-beta-D-galactopyranosyl-(1→4)-O-3,6-anhydro-alpha-L-galactopyranosyl-(1→3)-O-beta-D-galactopyranosyl-(1→4)-O-3,6-anhydro-alpha-L-galactopyranosyl-(1→3)-O-beta-D-galactopyranosyl-(1→4)-O-3,6-anhydro-alpha-L-galactopyranosyl-(1→3)-galactose
产品名称 新琼八糖
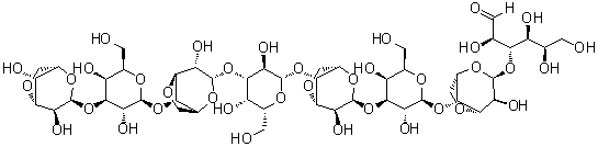
分子结构 CAS 登录号:25023-94-3, 新琼八糖
分子式 C48H74O37
分子量 1243.08
CAS 登录号 25023-94-3
物理化学性质
溶解度 微溶 (1.5 g/L) (25 ºC), 计算值*
密度 1.84±0.1 g/cm3 (20 ºC 760 torr), 计算值*
* 使用计算软件 Advanced Chemistry Development (ACD/Labs) V11.02 (©1994-2016 ACD/Labs)
市场分析报告
请浏览新琼八糖市场分析报告总目录
相关产品
硝酸钕(III)水合物  氮化钕  氧化钕  三溴化钕  Nemoralisin C  奈莫柔比星  新枞酸  新琼二糖  琼胶六糖醇  新琼六糖  新琼四糖  新穿心莲内酯  胂凡纳明  新补骨脂异黄酮  Neobellieria bullata trypsin modulating oostatic factor  新旋覆花内酯 B  新比克白芷内酯  新云实苦素 L  新云实苦素 O  新制癌菌素 N,N'-二(1,4-二氧代-1,4-丁烷二基)衍生物