Online Database of Chemicals from Around the World

1-[3-(1,3-丙二醇-2-乙基-2-甲氧基)丙基二甲基硅氧基]-3,5,7,9,11,13,15-七环戊基八倍半硅氧烷
[CAS# 268747-51-9]

基本信息
英文名 1-[3-(1,3-Propanediol-2-ethyl-2-methyloxy)propyldimethylsiloxy]-3,5,7,9,11,13,15-heptacyclopentyloctasilsesquioxane
产品名称 1-[3-(1,3-丙二醇-2-乙基-2-甲氧基)丙基二甲基硅氧基]-3,5,7,9,11,13,15-七环戊基八倍半硅氧烷
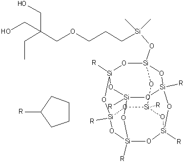
分子结构 CAS 登录号:268747-51-9, 1-[3-(1,3-丙二醇-2-乙基-2-甲氧基)丙基二甲基硅氧基]-3,5,7,9,11,13,15-七环戊基八倍半硅氧烷
分子式 C46H88O16Si9
分子量 1149.95
CAS 登录号 268747-51-9
物理化学性质
密度 1.21±0.1 g/cm3 (20 ºC 760 torr), 计算值*
* 使用计算软件 Advanced Chemistry Development (ACD/Labs) V11.02 (©1994-2015 ACD/Labs)
市场分析报告
请浏览1-[3-(1,3-丙二醇-2-乙基-2-甲氧基)丙基二甲基硅氧基]-3,5,7,9,11,13,15-七环戊基八倍半硅氧烷市场分析报告总目录
相关产品
炔螨特  炔丙基丙烯酸酯  2-丙炔-1-醇  丙炔醇丙氧基化物  丙炔胺盐酸盐  苯磺酸炔丙酯  1,3-丙二醇双(4-氨基苯甲酸酯)  (S)-(-)-碳酸丙烯酯  2,2-丙二醇对甲基亚苄基丙二酸环酯  2-乙基-2-(羟基甲基)-1,3-丙二醇均聚物异硬脂酸酯  1,2-丙二醇单月桂酸酯  1,2-丙二醇单油酸酯  1,3-丙二膦酸四乙基酯  1,3-丙烷二磺酰基氯化物  1,2-丙二硫醇  1,1'-(1,3-丙二基)双[1,1-双(2-甲氧基-5-甲基苯基)膦]  抗氧剂 Irganox-1019  O,O'-1,3-丙烷二基二羟胺二盐酸盐  1,1'-[1,3-丙烷二基二(氧基)]二[2,5-二甲基苯]  2,2'-[丙烷-2,2-二基双(硫代)]二乙酸