Online Database of Chemicals from Around the World

四季戊四醇十硝酸酯
[CAS# 31206-33-4]

供应商目录
BOC Sciences 美国 询价快递  
+1 (631) 485-4226
info@bocsci.com
化学品生产商
chemBlink 标准供应商 (2010年起)
四季戊四醇十硝酸酯供应商总目录
基本信息
英文名 Tetrapentaerythritol decanitrate
产品名称 四季戊四醇十硝酸酯
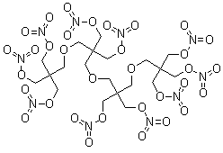
分子结构 CAS 登录号:31206-33-4, 四季戊四醇十硝酸酯
分子式 C20H32N10O33
分子量 940.52
CAS 登录号 31206-33-4
物理化学性质
溶解度 不溶 (2.9e-7 g/L) (25 ºC), 计算值*
密度 1.651±0.06 g/cm3 (20 ºC 760 torr), 计算值*
熔点 90 ºC**
* 使用计算软件 Advanced Chemistry Development (ACD/Labs) V11.02 (©1994-2013 ACD/Labs)
** Faubion, Billy D.; Analytical Chemistry 1971, V43(2), P241-7.
市场分析报告
请浏览四季戊四醇十硝酸酯市场分析报告总目录
相关产品
2,4,8,10-四氧杂-3,9-二硫杂螺[5.5]十一烷3,9-二氧化物  2,4,8,10-四氧杂-3,9-二硫杂螺[5.5]十一烷 3,3,9,9-四氧化物  4,7,10,13-四氧杂十六烷二酸  2,4,8,10-四氧杂螺[5.5]十一烷-3,9-双(丙胺)  4,7,10,13-四氧杂十四烷酸  4,7,10,13-四氧杂十四烷酸 2,5-二氧代-1-吡咯烷基酯  2,5,8,11-四氧杂十四碳-13-烯  4,6,8,10-四氧杂十三烷  2,5,8,11-四氧杂十三烷-13-硫醇  N-3,6,9,12-四氧杂十三烷-1-基-2,5,8,11-四氧杂十三烷-13-胺  四戊基锡烷  四肽-30  1,3,5,7-四苯基金刚烷  四苯基溴化锑  四苯基氯化鉮  四苯基氯化砷盐酸盐水合物  四苯基鉮碘化物  N,N,N'N'-四苯基-1,4-苯二胺  N,N,N',N'-四苯基联苯胺  9,9',10,10'-四苯基-2,2'-联蒽