Online Database of Chemicals from Around the World

D-山梨糖醇六(L-半胱氨酸)酯
[CAS# 444618-64-8]

供应商目录
Alfa Chemistry 美国 询价快递  
+1 (201) 478-8534
inquiry@alfa-chemistry.com
化学品供销商 (2012年起)
chemBlink 标准供应商 (2012年起)
D-山梨糖醇六(L-半胱氨酸)酯供应商总目录
基本信息
英文名 L-Cysteine hexaester with D-glucitol
产品名称 D-山梨糖醇六(L-半胱氨酸)酯
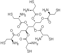
分子结构 CAS 登录号:444618-64-8, D-山梨糖醇六(L-半胱氨酸)酯
分子式 C24H44N6O12S6
分子量 801.03
CAS 登录号 444618-64-8
物理化学性质
溶解度 微溶 (1.4 g/L) (25 ºC), 计算值*
密度 1.441±0.06 g/cm3 (20 ºC 760 torr), 计算值*
* 使用计算软件 Advanced Chemistry Development (ACD/Labs) V11.02 (©1994-2016 ACD/Labs)
市场分析报告
请浏览D-山梨糖醇六(L-半胱氨酸)酯市场分析报告总目录
相关产品
环丙氨嗪  胱胺二盐酸盐  胱胺硫酸盐  半胱胺酒石酸氢盐  半胱胺盐酸盐  L-磺基丙氨酸一水合物  DL-半胱氨酸  L-半胱氨酸  D-半胱氨酸  L-半胱氨酸乙酯盐酸盐  D-半胱氨酸盐酸盐  DL-半胱氨酸盐酸盐  三环锡  Cylindrene  白茅素  环丙基甲基氯  CYM 5442  加拿大麻甙  柠檬草提取物  香茅提取物