Online Database of Chemicals from Around the World

Rh2(S-TCPTTL)4
[CAS# 515876-71-8]

供应商目录
CAS: 515876-71-8
产品: Rh2(S-TCPTTL)4
暂时没有厂家供应
基本信息
英文名 Rh2(S-TCPTTL)4
别名 Tetrakis[mu-[(alphaS)-4,5,6,7-tetrachloro-alpha-(1,1-dimethylethyl)-1,3-dihydro-1,3-dioxo-2H-isoindole-2-acetato]]dirhodium
产品名称 Rh2(S-TCPTTL)4
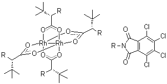
分子结构 CAS 登录号:515876-71-8, Rh2(S-TCPTTL)4
分子式 C56H40Cl16N4O16Rh2
分子量 1797.99
CAS 登录号 515876-71-8
物理化学性质
熔点 >280 ºC (ethyl acetate hexane )*
* Tsutsui, Hideyuki; Tetrahedron: Asymmetry 2003, V14(7), P817-821.
市场分析报告
请浏览Rh2(S-TCPTTL)4市场分析报告总目录
相关产品
D-核糖  杜鹃醇  (+)-杜鹃醇  闹羊花毒素 II  闹羊花毒素 III  闹羊花毒素 V  7,7'-亚氨双(4-羟基-2-萘磺酸)  野漆树苷  Rhoplex HA 8  Rhosin  Rh2(S-TFPTTL)4  盐肤木内酯 A  钩藤碱  RI-1  利巴韦林  瑞博西尼杂质18  核黄素-2,4,4a,10a-13C4-1,3-15N2  维生素 B2  核黄素-5'-磷酸钠二水合物  核黄素磷酸钠