Online Database of Chemicals from Around the World

1,1,1-三羟甲基丙烷聚氧乙烯聚氧丙烯醚
[CAS# 52624-57-4]

供应商目录
BOC Sciences 美国 询价快递  
+1 (631) 485-4226
info@bocsci.com
化学品生产商
chemBlink 标准供应商 (2010年起)
The Dow Chemical Company 美国 询价快递  
+1 (989) 633-1706
fmdcigs@dow.com
化学品生产商
chemBlink 标准供应商 (2012年起)
1,1,1-三羟甲基丙烷聚氧乙烯聚氧丙烯醚供应商总目录
基本信息
英文名 Trimethylolpropane ethoxylated propoxylated
别名 Ethoxylated-propoxylated trimethylolpropane; Ethylene oxide-propylene oxide copolymer ether with trimethylolpropane; Ethylene oxide-propylene oxide copolymer trimethylolpropane ether; Trimethylolpropane polyethylene-polypropylene glycol ether
产品名称 1,1,1-三羟甲基丙烷聚氧乙烯聚氧丙烯醚
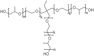
分子结构 CAS 登录号:52624-57-4, 1,1,1-三羟甲基丙烷聚氧乙烯聚氧丙烯醚
CAS 登录号 52624-57-4
EC 号码 610-877-7
安全数据
危害分类
up    说明
危害分类类别码危害标签
皮肤刺激Skin Irrit.2H315
特定目标器官毒性—单次接触STOT SE3H335
眼刺激Eye Irrit.2H319
严重眼损伤Eye Dam.1H318
市场分析报告
请浏览1,1,1-三羟甲基丙烷聚氧乙烯聚氧丙烯醚市场分析报告总目录
相关产品
N,N,2-三甲基-5-硝基苯磺酰胺  N,N,2-三甲基-7-硝基-1H-苯并咪唑-1-丙胺二盐酸盐  2,4,6-三甲基-3-硝基吡啶  N,2,3-三甲基-5-硝基-6-喹喔啉胺  2,6,8-三甲基-4-壬酮  N,N,N-三甲基十八烷-1-碘化铵  正辛基三甲基溴化铵  三羟甲基乙烷三缩水甘油醚  1,1,1-三羟甲基丙烷  三羟甲基丙烷二烯丙基醚  丙氧基化三羟甲基丙烷三丙烯酸酯  三羟甲基丙烷三丙烯酸酯  三羟甲基丙烷三缩水甘油醚  三羟甲基丙烷三甲基丙烯酸酯  三羟甲基丙烷-三(3-吖丙啶基丙酸酯)  三羟甲基丙烷三(3-巯基丙酸酯)  三羟甲基丙烷-三[3-(2-甲基吖丙啶基)丙酸酯]  三羟甲基丙烷三(三甲基硅)醚  原乙酸三甲酯  原苯甲酸三甲酯