Online Database of Chemicals from Around the World

L-天冬氨酸-13C4
[CAS# 55443-54-4]

供应商目录
上海甄准生物科技有限公司 中国 询价快递  
+86 15102117276
3001090745@qq.com
info@zzsrm.com
QQ 交谈
化学品供销商 (2013年起)
chemBlink 标准供应商 (2021年起)
L-天冬氨酸-13C4供应商总目录
基本信息
英文名 L-Aspartic acid-13C4
别名 (2S)-2-amino(1,2,3,4-13C4)butanedioic acid
产品名称 L-天冬氨酸-13C4
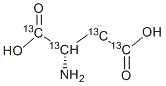
分子结构 CAS 登录号:55443-54-4, L-天冬氨酸-<sup>13</sup>C<sub>4</sub>
分子式 13C4H7NO4
分子量 137.07
CAS 登录号 55443-54-4
EC 号码 693-739-9
分子行输入简码
SMILES
O[13C]([13C@](N)([H])[13C]([H])([H])[13C](O)=O)=O
市场分析报告
请浏览L-天冬氨酸-13C4市场分析报告总目录
相关产品
L-alpha-天冬氨酰-L-丙氨酰-L-alpha-谷氨酰-L-苯丙氨酰-L-精氨酰-L-组氨酰-L-alpha-天冬氨酰-L-丝氨酰甘氨酰-L-酪氨酰-L-alpha-谷氨酰-L-缬氨酰-L-组氨酰-L-组氨酰-L-谷氨酰胺酰-L-赖氨酰-L-亮氨酰-L-缬氨酰-L-苯丙氨酰-L-苯丙氨酰-L-丙氨酰-L-alpha-谷氨酰-L-alpha-天冬氨酰-L-缬氨酰甘氨酰-L-半胱氨酰-L-天冬氨酰胺酰-L-赖氨酰甘氨酰-L-丙氨酰-L-异亮氨酰-L-异亮氨酰甘氨酰-L-亮氨酰-L-蛋氨酰-L-缬氨酰甘氨酰甘氨酰-L-缬氨酰-L-缬氨酸 双分子(26→26')-二硫醚  L-alpha-天冬氨酰-L-丙氨酰-L-alpha-谷氨酰-L-苯丙氨酰-L-精氨酰-L-组氨酰-L-alpha-天冬氨酰-L-丝氨酰甘氨酰-L-酪氨酰-L-alpha-谷氨酰-L-缬氨酰-L-组氨酰-L-组氨酰-L-谷氨酰胺酰-L-赖氨酰-L-亮氨酰-L-缬氨酰-L-苯丙氨酰-L-苯丙氨酰-L-丙氨酰-L-alpha-谷氨酰-L-alpha-天冬氨酰-L-缬氨酰甘氨酰-L-丝氨酰-L-天冬氨酰胺酰-L-赖氨酰甘氨酰-L-丙氨酰-L-异亮氨酰-L-异亮氨酰甘氨酰-L-亮氨酰-S,S-二氧代-L-蛋氨酰-L-缬氨酰甘氨酰甘氨酰-L-缬氨酰-L-缬氨酰-L-异亮氨酰-L-丙氨酸  L-天冬氨酰胺酰-L-酪氨酰-L-丙氨酰-L-精氨酰-L-苏氨酰-L-alpha-谷氨酰-L-alpha-天冬氨酰-L-苯丙氨酰-L-苯丙氨酸  L-天冬氨酰胺酰-L-酪氨酰-L-赖氨酰-L-精氨酰-L-半胱氨酰-L-苯丙氨酰-L-脯氨酰-L-缬氨酰-L-异亮氨酸  天冬宁 B  阿斯巴甜  DL-天门冬氨酸  L-天冬氨酸(氮15)  L-天门冬氨酸  D-天门冬氨酸  L-天冬氨酸苄酯  L-天冬氨酸-4-苄酯  D-天冬氨酸二叔丁酯盐酸盐  L-天冬氨酸-4-环己酯  L-天门冬氨酸二苄酯盐酸盐  L-天冬氨酸双苄酯对甲苯磺酸盐  D-天门冬氨酸二苄酯对甲苯磺酸盐  L-天门冬氨酸二乙酯盐酸盐  D-天冬氨酸二甲酯盐酸盐  DL-天冬氨酸二甲基酯盐酸盐