Online Database of Chemicals from Around the World

纤维六糖醇
[CAS# 61425-46-5]

供应商目录
卡博森斯化学科技 (苏州) 有限公司 中国 询价快递  
+86 (512) 6260-5585
sales@carbosynth.com
QQ 交谈
化学品生产商 (2006年起)
chemBlink 标准供应商 (2016年起)
纤维六糖醇供应商总目录
基本信息
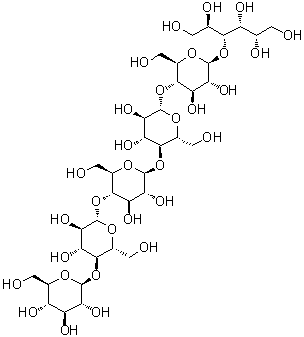
英文名 Cellohexaitol
别名 O-beta-D-Glucopyranosyl-(1→4)-O-beta-D-glucopyranosyl-(1→4)-O-beta-D-glucopyranosyl-(1→4)-O-beta-D-glucopyranosyl-(1→4)-O-beta-D-glucopyranosyl-(1→4)-D-glucitol
产品名称 纤维六糖醇
分子结构 CAS 登录号:61425-46-5, 纤维六糖醇
分子式 C36H64O31
分子量 992.87
CAS 登录号 61425-46-5
物理化学性质
溶解度 溶解 (45 g/L) (25 ºC), 计算值*
密度 1.84±0.1 g/cm3 (20 ºC 760 torr), 计算值*
* 使用计算软件 Advanced Chemistry Development (ACD/Labs) V11.02 (©1994-2016 ACD/Labs)
市场分析报告
请浏览纤维六糖醇市场分析报告总目录
相关产品
头孢氨苄(一水物)  3-sn-磷脂酰乙醇胺  Cephalocyclidin A  纤维二糖烯  聚纤维二糖六乙酸酯  D-(+)-纤维二糖  D-纤维二糖  D-(+)-纤维二糖八乙酸酯  纤维二糖醛酸  纤维七糖  纤维五糖醇  纤维五糖  纤维四糖  纤维三糖醇  纤维三糖  细胞染色剂黄绿素-AM  beta-细胞促激素  纤维素酶  赛璐珞  乙酸纤维素