Online Database of Chemicals from Around the World

Maduramicin
[CAS# 61991-54-6]

List of Suppliers
Capot Chemical Co., Ltd. China Inquire  
+86 (571) 8558-6718
+86 13336195806
capotchem@gmail.com
sales@capotchem.com
QQ chat
Chemical manufacturer
chemBlink standard supplier since 2006
Hefei TNJ Chemical Industry Co., Ltd. China Inquire  
+86 (551) 6541-8684
sales@tnjchem.com
Chemical manufacturer since 2001
chemBlink standard supplier since 2010
Alfa Chemistry USA Inquire  
+1 (201) 478-8534
inquiry@alfa-chemistry.com
Chemical distributor since 2012
chemBlink standard supplier since 2012
Complete supplier list of Maduramicin
Identification
Classification API >> Antiparasitic drug >> Antiprotozoal
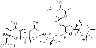
Name Maduramicin
Synonyms (2R,3S,4S,5R,6S)-6-[(1R)-1-[(2S,5R,7S,8R,9S)-2-[(2S,2'R,3'S,5R,5'R)-3'-[(2,6-Dideoxy-3,4-di-O-methyl-b-L-arabino-hexopyranosyl)oxy]octahydro-2-methyl-5'-[(2S,3S,5R,6S)-tetrahydro-6-hydroxy-3,5,6-trimethyl-2H-pyran-2-yl][2,2'-bifuran]-5-yl]-9-hydroxy-2,8-dimethyl-1,6-dioxaspiro[4.5]dec-7-yl]ethyl]tetrahydro-2-hydroxy-4,5-dimethoxy-3-methyl-2H-pyran-2-acetic acid
Molecular Structure CAS # 61991-54-6, Maduramicin, (2R,3S,4S,5R,6S)-6-[(1R)-1-[(2S,5R,7S,8R,9S)-2-[(2S,2'R,3'S,5R,5'R)-3'-[(2,6-Dideoxy-3,4-di-O-methyl-b-L-arabino-hexopyranosyl)oxy]octahydro-2-methyl-5'-[(2S,3S,5R,6S)-tetrahydro-6-hydroxy-3,5,6-trimethyl-2H-pyran-2-yl][2,2'-bifuran]-5-yl]-9-hydroxy-2,8-dimethyl-1,6-dioxaspiro[4.5]dec-7-yl]ethyl]tetrahydro-2-hydroxy-4,5-dimethoxy-3-methyl-2H-pyran-2-acetic acid
Molecular Formula C47H80O17
Molecular Weight 917.14
CAS Registry Number 61991-54-6
Properties
Melting point 305-310 ºC
Market Analysis Reports
List of Reports Available for Maduramicin
Related Products
Macrocarpal K  Macrocarpal L  Macrocarpal N  Macrocarpal N  Macrocliniside B  Maculosine 2  Macusine B  Madecassic acid  Madecassoside  8-M-ADOT  Maduramycin ammonium  MAEM  Maesopsin  (-)-Maackiain  Maackiain  Mabuprofen  Mabuterol hydrochloride  Mabuterol hydrochloride  7-MAC  MAC 13243