Online Database of Chemicals from Around the World

1-蔗果七糖
[CAS# 62512-20-3]

供应商目录
成都普瑞法科技开发有限公司 中国 询价快递  
+86 (28) 8263-3860
8263-3987
sales@biopurify.com
biopurify@gmail.com
QQ 交谈
Skype 聊天
化学品生产商
chemBlink 标准供应商 (2017年起)
1-蔗果七糖供应商总目录
基本信息
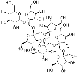
英文名 1-Kestoheptaose
别名 O-beta-D-Fructofuranosyl-(2→1)-O-beta-D-fructofuranosyl-(2→1)-O-beta-D-fructofuranosyl-(2→1)-O-beta-D-fructofuranosyl-(2→1)-O-beta-D-fructofuranosyl-(2→1)-beta-D-fructofuranosyl alpha-D-glucopyranoside
产品名称 1-蔗果七糖
分子结构 CAS 登录号:62512-20-3, 1-蔗果七糖
分子式 C42H72O36
分子量 1153.00
CAS 登录号 62512-20-3
物理化学性质
密度 1.89±0.1 g/cm3 (20 ºC 760 torr), 计算值*
* 使用计算软件 Advanced Chemistry Development (ACD/Labs) V11.02 (©1994-2018 ACD/Labs)
市场分析报告
请浏览1-蔗果七糖市场分析报告总目录
相关产品
(1R)-(-)-酮基蒎酸  酮基蒎酸  (S)-(+)-酮基蒎酸  锆偶联剂 LZ 09  锆偶联剂 LZ 44  锆偶联剂 NZ 12  Ken-React NZ 37  delta-脑磷脂  角蛋白  煤油  1,1,1,1-蔗果六糖  氯胺酮  盐酸氯氨酮  盐酸氯胺酮  酮色林  酒石酸酮色林  3-氧代阿比特龙  7-氧代阿比特龙乙酸酯  2-氧代己二酸  15-氧代比马前列素