Online Database of Chemicals from Around the World

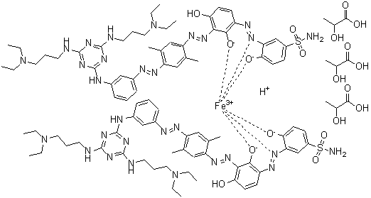
2-羟基丙酸与[3-[[3-[[4-[[3-[[4,6-二[[3-(二乙基氨基)丙基]氨基]-1,3,5-三嗪-2-基]氨基]苯基]偶氮]-2,5-二甲基苯基]偶氮]-2,4-二羟基苯基]偶氮]-4-羟基苯磺酰胺(2-)][3-[[5-[[4-[[3-[[4,6-二[[3-(二乙基氨基)丙基]氨基]-1,3,5-三嗪-2-基]氨基]苯基]偶氮]-2,5-二甲基苯基]偶氮]-2,4-二羟基苯基]偶氮]-4-羟基苯磺酰胺]氢铁酸盐的化合物(3:1)
[CAS# 80410-35-1]

基本信息
英文名 2-Hydroxypropanoic acid compd. with hydrogen [3-[[3-[[4-[[3-[[4,6-bis[[3-(diethylamino)propyl]amino]-1,3,5-triazin-2-yl]amino]phenyl]azo]-2,5-dimethylphenyl]azo]-2,4-dihydroxyphenyl]azo]-4-hydroxybenzenesulfonamidato(2-)][3-[[5-[[4-[[3-[[4,6-bis[[3-(diethylamino)propyl]amino]-1,3,5-triazin-2-yl]amino]phenyl]azo]-2,5-dimethylphenyl]azo]-2,4-dihydroxyphenyl]azo]-4-hydroxybenzenesulfonamidato(2-)]ferrate(1-) (3:1)
产品名称 2-羟基丙酸与[3-[[3-[[4-[[3-[[4,6-二[[3-(二乙基氨基)丙基]氨基]-1,3,5-三嗪-2-基]氨基]苯基]偶氮]-2,5-二甲基苯基]偶氮]-2,4-二羟基苯基]偶氮]-4-羟基苯磺酰胺(2-)][3-[[5-[[4-[[3-[[4,6-二[[3-(二乙基氨基)丙基]氨基]-1,3,5-三嗪-2-基]氨基]苯基]偶氮]-2,5-二甲基苯基]偶氮]-2,4-二羟基苯基]偶氮]-4-羟基苯磺酰胺]氢铁酸盐的化合物(3:1)
分子结构 CAS 登录号:80410-35-1, 2-羟基丙酸与[3-[[3-[[4-[[3-[[4,6-二[[3-(二乙基氨基)丙基]氨基]-1,3,5-三嗪-2-基]氨基]苯基]偶氮]-2,5-二甲基苯基]偶氮]-2,4-二羟基苯基]偶氮]-4-羟基苯磺酰胺(2-)][3-[[5-[[4-[[3-[[4,6-二[[3-(二乙基氨基)丙基]氨基]-1,3,5-三嗪-2-基]氨基]苯基]偶氮]-2,5-二甲基苯基]偶氮]-2,4-二羟基苯基]偶氮]-4-羟基苯磺酰胺]氢铁酸盐的化合物(3:1)
分子式 C86H110FeN30O10S2.3(C3H6O3).H
分子量 2115.23
CAS 登录号 80410-35-1
EC 号码 279-460-1
市场分析报告
请浏览2-羟基丙酸与[3-[[3-[[4-[[3-[[4,6-二[[3-(二乙基氨基)丙基]氨基]-1,3,5-三嗪-2-基]氨基]苯基]偶氮]-2,5-二甲基苯基]偶氮]-2,4-二羟基苯基]偶氮]-4-羟基苯磺酰胺(2-)][3-[[5-[[4-[[3-[[4,6-二[[3-(二乙基氨基)丙基]氨基]-1,3,5-三嗪-2-基]氨基]苯基]偶氮]-2,5-二甲基苯基]偶氮]-2,4-二羟基苯基]偶氮]-4-羟基苯磺酰胺]氢铁酸盐的化合物(3:1)市场分析报告总目录
相关产品
柠檬酸三钡盐  2-羟基-1,2,3-丙烷三羧酸铋钾盐  2-羟基-1,2,3-丙三酸铁盐水合物  2-羟基-1,2,3-丙烷三羧酸 2-(苯基甲基)酯  2-羟基-1,2,3-丙烷三羧酸与alpha,alpha',alpha''-1,2,3-丙烷三基三[omega-羟基聚[氧基(甲基-1,2-乙二基)]]的聚合物  (9Z,12Z)-9,12-十八碳二烯酸二聚体二(柠檬酸三(辛基十二烷基)酯)酯  (2S)-2-羟基丙脒盐酸盐  (2R)-2-羟基丙脒单盐酸盐  3-羟基丙酸  (2S)-2-羟基丙酸和 N-环丙基-N'-[3-[6-(4-吗啉基甲基)-1H-苯并咪唑-2-基]-1H-吡唑-4-基]脲的化合物  3-羟基丙酸乙酯  3-羟基丙酸甲酯  (S)-2-羟基丙酸银络合物  (4-(2-羟基丙烷-2-基)苯基)硼酸  3-(2-羟基丙烷-2-基)苯硼酸  7-[6-(2-羟基丙-2-基)吡啶-3-基]-1-(反式-4-甲氧基环己基)-3,4-二氢吡嗪并[2,3-b]吡嗪-2(1H)-酮  6-羟基-N-[(2-丙烯-1-基氧基)羰基]-L-正亮氨酸  3-羟基丙醛二乙基缩醛  2-羟基丙醛二甲基缩醛  N-羟基丙脒