Online Database of Chemicals from Around the World

5-氧代-DL-脯氨酸钛络合物
[CAS# 85392-57-0]

供应商目录
Alfa Chemistry 美国 询价快递  
+1 (201) 478-8534
inquiry@alfa-chemistry.com
化学品供销商 (2012年起)
chemBlink 标准供应商 (2012年起)
5-氧代-DL-脯氨酸钛络合物供应商总目录
基本信息
英文名 5-Oxo-DL-proline titanium complex
产品名称 5-氧代-DL-脯氨酸钛络合物
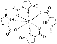
分子结构 CAS 登录号:85392-57-0, 5-氧代-DL-脯氨酸钛络合物
分子式 C20H24N4O12Ti
分子量 560.29
CAS 登录号 85392-57-0
EC 号码 286-917-9
市场分析报告
请浏览5-氧代-DL-脯氨酸钛络合物市场分析报告总目录
相关产品
顺式-2-(1-氧代丙基)环丙烷羧酸乙酯  N-丙酮基邻苯二甲酰亚胺  N-(1-氧代丙基)-L-异亮氨酰-L-异亮氨酰甘氨酰-L-亮氨酰胺  N6-(1-氧代丙基)-L-赖氨酸  4-[(1-氧代丙基)苯基氨基]-4-哌啶羧酸甲酯单盐酸盐  5-(1-氧代丙基)-2-(苯硫基)苯乙酸甲酯  N-[1-(1-氧代丙基)-4-哌啶基]-N'-[4-(三氟甲氧基)苯基]脲  2-(2-氧代丙基)-丙二酸二乙酯  5-(2-氧代丙基)-3-吡啶甲腈  5-氧代-L-脯氨酸铥络合物  5-氧代-L-脯氨酰-L-丙氨酸  5-氧代-L-脯氨酰-L-天冬氨酰胺酰甘氨酸  5-氧代-L-脯氨酰-L-天冬氨酰胺酰-L-苯丙氨酰-L-组氨酰-L-亮氨酰-L-精氨酰-L-脯氨酰胺单盐酸盐  5-氧代-L-脯氨酰-L-组氨酰-N-(4-甲氧基-2-萘基)-L-脯氨酰胺  5-氧代-L-脯氨酰-L-亮氨酰-L-亮氨酰甘氨酰甘氨酰-L-精氨酰-L-苯丙氨酰胺  5-氧代-L-脯氨酰-L-蛋氨酰-L-丙氨酰-L-缬氨酰-L-赖氨酰-L-赖氨酰-L-酪氨酰-L-亮氨酰-L-天冬氨酰胺酰-L-丝氨酰-L-异亮氨酰-L-亮氨酰-L-天冬氨酰胺  alpha-(5-氧代-L-脯氨酰)-(3-甲基-L-组氨酰)-L-脯氨酰胺  5-氧代-L-脯氨酰-L-苯丙氨酰甘氨酰胺  5-氧代-L-脯氨酰-L-色氨酰-L-亮氨酰-L-精氨酰甘氨酰-L-精氨酰-L-苯丙氨酰胺  5-氧代-L-脯氨酰-L-缬氨酰-L-赖氨酰-L-亮氨酰-L-酪氨酰-L-精氨酰-L-脯氨酰胺