Online Database of Chemicals from Around the World

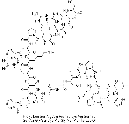
L-半胱氨酰-L-亮氨酰-L-丝氨酰-L-精氨酰-L-精氨酰-L-脯氨酰-L-色氨酰-L-赖氨酰-L-精氨酰-L-丝氨酰-L-色氨酰-L-丝氨酰-L-丙氨酰甘氨酰-L-丝氨酰-L-半胱氨酰-L-脯氨酰甘氨酰-L-蛋氨酰-L-脯氨酰-L-组氨酰-L-亮氨酸
[CAS# 907625-65-4]

基本信息
产品分类 生物化工 >> 多肽
英文名 L-Cysteinyl-L-leucyl-L-seryl-L-arginyl-L-arginyl-L-prolyl-L-tryptophyl-L-lysyl-L-arginyl-L-seryl-L-tryptophyl-L-seryl-L-alanylglycyl-L-seryl-L-cysteinyl-L-prolylglycyl-L-methionyl-L-prolyl-L-histidyl-L-leucine
产品名称 L-半胱氨酰-L-亮氨酰-L-丝氨酰-L-精氨酰-L-精氨酰-L-脯氨酰-L-色氨酰-L-赖氨酰-L-精氨酰-L-丝氨酰-L-色氨酰-L-丝氨酰-L-丙氨酰甘氨酰-L-丝氨酰-L-半胱氨酰-L-脯氨酰甘氨酰-L-蛋氨酰-L-脯氨酰-L-组氨酰-L-亮氨酸
分子结构 CAS 登录号:907625-65-4, L-半胱氨酰-L-亮氨酰-L-丝氨酰-L-精氨酰-L-精氨酰-L-脯氨酰-L-色氨酰-L-赖氨酰-L-精氨酰-L-丝氨酰-L-色氨酰-L-丝氨酰-L-丙氨酰甘氨酰-L-丝氨酰-L-半胱氨酰-L-脯氨酰甘氨酰-L-蛋氨酰-L-脯氨酰-L-组氨酰-L-亮氨酸
蛋白质序列 1-22 CLSRRPWKRS WSAGSCPGMP HL
[22-E-OH;]
分子式 C109H170N36O27S3
分子量 2512.94
CAS 登录号 907625-65-4
物理化学性质
密度 1.55±0.1 g/cm3 (20 ºC 760 torr), 计算值*
* 使用计算软件 Advanced Chemistry Development (ACD/Labs) V11.02 (©1994-2016 ACD/Labs)
市场分析报告
请浏览L-半胱氨酰-L-亮氨酰-L-丝氨酰-L-精氨酰-L-精氨酰-L-脯氨酰-L-色氨酰-L-赖氨酰-L-精氨酰-L-丝氨酰-L-色氨酰-L-丝氨酰-L-丙氨酰甘氨酰-L-丝氨酰-L-半胱氨酰-L-脯氨酰甘氨酰-L-蛋氨酰-L-脯氨酰-L-组氨酰-L-亮氨酸市场分析报告总目录
相关产品
L-半胱氨酰甘氨酰-L-赖氨酰-L-精氨酰-L-alpha-天冬氨酰-L-丙氨酰-L-alpha-谷氨酰-L-苯丙氨酰-L-精氨酰-L-组氨酰-L-alpha-天冬氨酰-L-丝氨酰甘氨酰-L-酪氨酰-L-alpha-谷氨酰-L-缬氨酰-L-组氨酰-L-组氨酰-L-谷氨酰胺酰-L-赖氨酰-L-亮氨酰-L-缬氨酰-L-苯丙氨酰-L-苯丙氨酰-L-丙氨酰-L-alpha-谷氨酰-L-alpha-天冬氨酰-L-缬氨酰甘氨酰-L-丝氨酰-L-天冬氨酰胺酰-L-赖氨酰甘氨酰-L-丙氨酰-L-异亮氨酰-L-异亮氨酰甘氨酰-L-亮氨酰-L-蛋氨酰-L-缬氨酰甘氨酰甘氨酰-L-缬氨酰-L-缬氨酰-L-异亮氨酰-L-丙氨酸  L-半胱氨酰甘氨酰-L-赖氨酰-L-赖氨酰甘氨酰甘氨酰-L-亮氨酰-L-蛋氨酰-L-缬氨酰甘氨酰甘氨酰-L-缬氨酰-L-缬氨酸  L-半胱氨酰甘氨酰-L-赖氨酰-L-赖氨酰甘氨酰-L-蛋氨酰-L-缬氨酰甘氨酰甘氨酰-L-缬氨酰-L-缬氨酸  L-半胱氨酰甘氨酰-L-赖氨酰-L-赖氨酰甘氨酰-L-缬氨酰甘氨酰甘氨酰-L-缬氨酰-L-缬氨酰-L-异亮氨酰-L-丙氨酸  L-半胱氨酰-L-组氨酰-L-组氨酰-L-苯丙氨酰-L-苯丙氨酰-D-色氨酰-L-赖氨酰-L-苏氨酰-L-苯丙氨酰-L-苏氨酰-L-丝氨酰-L-半胱氨酸环(1→12)-二硫醚  L-半胱氨酰-L-组氨酰-L-丝氨酰-L-精氨酰-L-丝氨酰-L-丙氨酰-L-alpha-天冬氨酰-L-缬氨酰-L-alpha-天冬氨酰-L-丝氨酰-L-亮氨酰-L-丝氨酰-L-alpha-谷氨酰-L-丝氨酰-L-丝氨酰-L-脯氨酰-L-天冬氨酰胺酰-L-丝氨酰-L-丝氨酰-L-脯氨酰甘氨酰-L-脯氨酰-L-半胱氨酰-L-脯氨酰-L-alpha-谷氨酰-L-赖氨酰-L-丙氨酰-L-脯氨酰-L-脯氨酰-L-脯氨酰-L-谷氨酰胺酰-L-赖氨酰-L-脯氨酰-L-丝氨酰-L-组氨酰-L-alpha-谷氨酰甘氨酰-L-丝氨酰-L-酪氨酰-L-亮氨酰-L-亮氨酰-L-谷氨酰胺酰-L-脯氨酸环(1→23)-二硫醚  L-半胱氨酰-L-组氨酰-L-丝氨酰甘氨酰-L-酪氨酰-L-缬氨酰甘氨酰-L-缬氨酰-L-精氨酰-L-半胱氨酸环(1→10)-二硫醚  L-半胱氨酰-L-异亮氨酰-L-丙氨酰-L-alpha-谷氨酰-L-谷氨酰胺酰-L-酪氨酰-L-组氨酰-L-苏氨酰-L-缬氨酸  L-半胱氨酰-L-异亮氨酰-L-亮氨酰甘氨酰-L-赖氨酰-L-亮氨酰-L-苯丙氨酰-L-苏氨酰-L-赖氨酸  L-半胱氨酰-L-亮氨酰-L-亮氨酰-L-色氨酰-L-丝氨酰-L-苯丙氨酰-L-谷氨酰胺酰-L-苏氨酰-L-丝氨酰-L-丙氨酸  L-半胱氨酰-L-蛋氨酰-L-苏氨酰-L-色氨酰-L-天冬氨酰胺酰-L-谷氨酰胺酰-L-蛋氨酰-L-天冬氨酰胺酰-L-亮氨酸  L-半胱氨酰-L-苯丙氨酰-L-丝氨酰-L-精氨酰-L-丙氨酰-L-酪氨酰-L-脯氨酰-L-苏氨酰-L-脯氨酰-L-亮氨酰-L-精氨酰-L-丝氨酰-L-赖氨酰-L-赖氨酰-L-苏氨酰胺  L-半胱氨酰-L-脯氨酰-L-脯氨酰-L-色氨酰-L-组氨酰-L-脯氨酰-L-丝氨酰-L-alpha-谷氨酰-L-精氨酰-L-异亮氨酰-L-丝氨酰-L-丝氨酰-L-苏氨酰-L-亮氨酸  L-半胱氨酰-L-丝氨酰-L-半胱氨酰-L-丝氨酰-L-丝氨酰-L-亮氨酰-L-蛋氨酰-L-alpha-天冬氨酰-L-赖氨酰-L-alpha-谷氨酰-L-半胱氨酰-L-缬氨酰-L-酪氨酰-L-苯丙氨酰-L-半胱氨酰-L-组氨酰-L-亮氨酰-L-alpha-天冬氨酰-L-异亮氨酰-L-异亮氨酰-L-色氨酰-L-缬氨酰-L-天冬氨酰胺酰-L-苏氨酰-L-脯氨酰-L-alpha-谷氨酰-L-组氨酰-L-缬氨酰-L-缬氨酰-L-脯氨酰-L-酪氨酰甘氨酰-L-亮氨酰甘氨酰-L-丝氨酰-L-脯氨酰-L-丝氨酰-L-精氨酰-L-丝氨酸  L-半胱氨酰-L-丝氨酰-L-异亮氨酰-L-脯氨酰-L-脯氨酰-L-alpha-谷氨酰-L-缬氨酰-L-赖氨酰-L-苯丙氨酰-L-天冬氨酰胺酰-L-赖氨酰-L-脯氨酰-L-苯丙氨酰-L-缬氨酰-L-酪氨酰-L-亮氨酰-L-异亮氨酸  L-半胱氨酰-L-苏氨酰-L-丙氨酰-L-半胱氨酰-L-精氨酰-L-色氨酰-L-赖氨酰-L-赖氨酰-L-丙氨酰-L-半胱氨酰-L-谷氨酰胺酰-L-精氨酸  L-半胱氨酰-L-苏氨酰-L-半胱氨酰-L-天冬氨酰胺酰-L-alpha-天冬氨酰-L-正亮氨酰-L-苏氨酰-L-alpha-天冬氨酰-L-alpha-谷氨酰-L-alpha-谷氨酰-L-半胱氨酰-L-亮氨酰-L-天冬氨酰胺酰-L-苯丙氨酰-L-半胱氨酰-L-组氨酰-L-谷氨酰胺酰-L-alpha-天冬氨酰-L-缬氨酰-L-异亮氨酰-L-色氨酸环(1→15),(3→11)-双(二硫醚)  L-半胱氨酰-L-苏氨酰-L-苏氨酰-L-组氨酰-L-色氨酰甘氨酰-L-苯丙氨酰-L-苏氨酰-L-亮氨酰-L-半胱氨酸环(1→10)-二硫醚  L-半胱氨酰-L-酪氨酰-L-丙氨酰-L-丝氨酰甘氨酰-L-色氨酰甘氨酰-L-丝氨酰-L-异亮氨酸  DL-胱氨酸