Online Database of Chemicals from Around the World

Priolube 370
[CAS# 91050-89-4]

供应商目录
厦门志信化学有限公司 中国 询价快递  
+86 13806087780
sale@simagchem.com
化学品生产商 (2002年起)
chemBlink 标准供应商 (2008年起)
BOC Sciences 美国 询价快递  
+1 (631) 485-4226
info@bocsci.com
化学品生产商
chemBlink 标准供应商 (2010年起)
南京汇哲贸易有限公司 中国 询价快递  
+86 (25) 8773-7352
njhzchem@gmail.com
化学品供销商
chemBlink 标准供应商 (2011年起)
Priolube 370供应商总目录
基本信息
英文名 Priolube 370
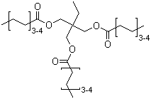
别名 Priolube 3970; Fatty acids C8-10 triesters with trimethylolpropane
产品名称 Priolube 370; 丙烷三甲醇 C8-10 脂肪酸三酯
分子结构 CAS 登录号:91050-89-4, Priolube 370, 丙烷三甲醇 C8-10 脂肪酸三酯
CAS 登录号 91050-89-4
EC 号码 293-036-3
市场分析报告
请浏览Priolube 370市场分析报告总目录
相关产品
(S)7-[(beta-D-吡喃葡萄糖氧基)甲基]-2,3-二氢-4-羟基-2-(1-羟基-1-甲基乙基)-5H-呋喃并[3,2-g][1]苯并吡喃-5-酮  升麻素苷  扑米酮  氟嘧磺隆  甲基氟嘧磺隆  报春花皂苷 1  报春花皂苷 II  报春花根苷  普林贝瑞  普马司他  Prionidipene A  红根草种素  Prionoid B  Prionoid C  Prionoid D  Prionoid E  106-126-朊蛋白  扁塑藤素  普那霉素  Pritelivir