Online Database of Chemicals from Around the World

Ulgut
[CAS# 91574-91-3]

供应商目录
上海赢瑞生物医药科技有限公司 中国 询价快递  
+86 (21) 3358-5366
3466-6753
+86 13311639313
sales02@shyrchem.com
QQ 交谈
Skype 聊天
化学品生产商 (2009年起)
chemBlink 标准供应商 (2017年起)
Ulgut供应商总目录
基本信息
英文名 Ulgut
别名 beta-Cyclodextrin, compd. with trans-phenylmethyl 2-[[[4-[[(aminoiminomethyl)amino]methyl]cyclohexyl]carbonyl]oxy]benzoate hydrochloride; TA 903
产品名称 Ulgut
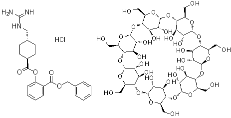
分子结构 CAS 登录号:91574-91-3, Ulgut
分子式 C42H70O35.C23H27N3O4.HCl
分子量 1580.92
CAS 登录号 91574-91-3
市场分析报告
请浏览Ulgut市场分析报告总目录
相关产品
U-CAT 5003  U-Cat 12XD  乌地那非  二磷酸尿苷-6-叠氮基-6-脱氧-D-吡喃半乳糖基.2钠  二磷酸尿苷-半乳糖二钠盐  二磷酸尿苷-乙酰半乳糖胺叠氮物二钠盐  优菲那唑  Ugaxanthone  UK 383367  UK 5099  湿生金丝桃素 B  乌司他丁  乌利司他  醋酸乌利司他  Ultramark 1621  紫外吸收剂 UV-1164  紫外光吸收剂 UV-360  紫外线吸收剂 UV-P  紫外线吸收剂 UV 292  Ulvan