Online Database of Chemicals from Around the World

胆红素二钠盐
[CAS# 93891-87-3]

供应商目录
BOC Sciences 美国 询价快递  
+1 (631) 485-4226
info@bocsci.com
化学品生产商
chemBlink 标准供应商 (2010年起)
成都健腾生物技术有限公司 中国 询价快递  
+86 400-028-7725
info@aktinchem.com
QQ 交谈
化学品生产商
chemBlink 标准供应商 (2011年起)
胆红素二钠盐供应商总目录
基本信息
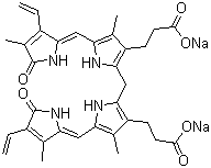
英文名 Disodium bilirubinate
别名 Disodium 1,10,19,22,23,24-hexahydro-3,7,13,18-tetramethyl-1,19-dioxo-2,17-divinyl-21H-biline-8,12-dipropionate
产品名称 胆红素二钠盐
分子结构 CAS 登录号:93891-87-3, 胆红素二钠盐
分子式 C33H34N4O6.2Na
分子量 628.63
CAS 登录号 93891-87-3
EC 号码 299-468-9
市场分析报告
请浏览胆红素二钠盐市场分析报告总目录
相关产品
3,6'-二芥子酰基蔗糖  地西氯铵  地司特泰  [[5-(2,4-二氧代嘧啶-1-基)-3,4-二羟基四氢呋喃-2-基]甲氧基-氧代磷酰](3,4,5-三羟基四氢吡喃-2-基)磷酸二钠  5'-腺嘌呤核苷酸二钠盐  1-氨基-4-(4-氨基-3-磺基苯胺基)蒽醌-2-磺酸二钠盐  2-萘胺-3,6-二磺酸钠盐  8-氨基萘-1,3,6-三磺酸二钠盐  二钠2-氨基戊二酸酯  二钠浴酮灵二磺酸酯  2-羟基丙烷丁炔二醚-3-磺酸钠  辛酰两性基二乙酸二钠盐  3,3'-羰基双(4-羟基-6-甲氧基苯磺酸)二钠  猩红酸钠盐  [1-[(5-氯-2-羟基苯基)偶氮]-2-萘酚][4-羟基-3-[(2-羟基-5-硝基苯基)偶氮]-7-[(1-氧代-2-丙烯基)氨基]-2-萘磺酸基]铬酸二钠盐  柠檬酸二钠盐  氯屈膦酸二钠(四水合物)  椰油酰两性基二乙酸二钠  反式-藏红花酸二钠  [2,4-二氢-4-[(2-羟基-5-硝基苯基)偶氮]-5-甲基-2-苯基-3H-吡唑-3-酮][3-羟基-4-[(2-羟基-1-萘基)偶氮]-7-硝基-1-萘磺酸]铬酸二钠盐