Online Database of Chemicals from Around the World

[1,2-Ethanediylbis[[(phosphonomethyl)imino]-2,1-ethanediyl[(phosphonomethyl)imino]-2,1-ethanediylnitrilobis(methylene)]]tetrakis-phosphonic acid octasodium salt
[CAS# 93892-80-9]

Identification
Name [1,2-Ethanediylbis[[(phosphonomethyl)imino]-2,1-ethanediyl[(phosphonomethyl)imino]-2,1-ethanediylnitrilobis(methylene)]]tetrakis-phosphonic acid octasodium salt
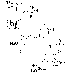
Molecular Structure CAS # 93892-80-9, [1,2-Ethanediylbis[[(phosphonomethyl)imino]-2,1-ethanediyl[(phosphonomethyl)imino]-2,1-ethanediylnitrilobis(methylene)]]tetrakis-phosphonic acid octasodium salt
Molecular Formula C18H44N6O24P8.Na8
Molecular Weight 1160.28
CAS Registry Number 93892-80-9
EC Number 299-567-7
Market Analysis Reports
List of Reports Available for [1,2-Ethanediylbis[[(phosphonomethyl)imino]-2,1-ethanediyl[(phosphonomethyl)imino]-2,1-ethanediylnitrilobis(methylene)]]tetrakis-phosphonic acid octasodium salt
Related Products
2,2'-[1,2-Ethanediylbis(oxy)]bis[5-fluorobenzenamine]  N,N'-[1,2-Ethanediylbis[oxy(4-fluoro-2,1-phenylene)]]bis[N-(carboxymethyl)glycine]  N,N'-[1,2-Ethanediylbis[oxy(4-fluoro-2,1-phenylene)]]bis[N-(carboxymethyl)glycine] tetrapotassium salt  (17alpha)-3,3-[1,2-Ethanediylbis(oxy)]-17-hydroxy-19-norpregna-5(10),9(11)-diene-21-nitrile  9,9'-[1,2-Ethanediylbis(oxymethylene)]bis[2-amino-1,9-dihydro-6H-purin-6-one]  N,N'-[1,2-Ethanediylbis[oxy(4-nitro-2,1-phenylene)]]bis[N-(2-ethoxy-2-oxoethyl)glycine] diethyl ester  N,N'-[1,2-Ethanediylbis(oxy-2,1-phenylene)]bis[N-(carboxymethyl)glycine 1,1'-bis[2-(octyloxy)ethyl] ester  N,N'-[1,2-Ethanediylbis(oxy-2,1-phenylene)]bis[N-(carboxymethyl)glycine sodium salt  N,N'-[1,2-Ethanediylbis(oxy-2,1-phenylene)]bis[N-(2-ethoxy-2-oxoethyl)glycine diethyl ester  N,N'-[1,2-Ethanediylbis(oxy-3,1-propanediyl)]bis[1-[5-[(2S)-1-(N-methyl-L-alanyl-L-valyl)-2-pyrrolidinyl]-3-pyridinyl]-1H-indole-4-carboxamide  N,N''-1,2-Ethanediylbis(1,3-propanediamine) reaction products with cyclohexane and peroxidized N-butyl-2,2,6,6-tetramethyl-4-piperidinamine-2,4,6-trichloro-1,3,5-triazine  7,7'-(1,2-Ethanediyldiimino)bis[1-cyclopropyl-6-fluoro-1,4-dihydro-8-methoxy-4-oxo-3-quinolinecarboxylic acid]  Ethametsulfuron  Ethanamine sulfate (2:1)  Ethane  Ethanedial monooxime  Ethanediamine dihydroiodide  1,2-Ethanediamine monohydrate  1,2-Ethanediamine polymer with decanedioic acid octadecanoate  [mu-[Ethanedioato]]bis[ethanedioato]dilutetium hydrate