Online Database of Chemicals from Around the World

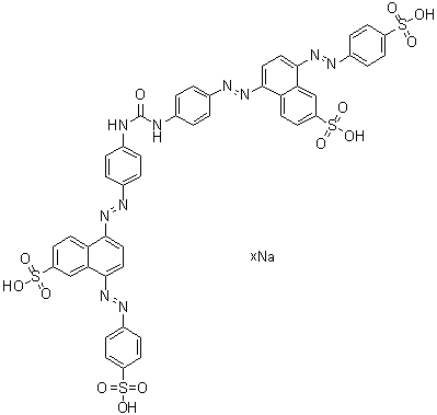
5,5'-[Carbonylbis(imino-4,1-phenyleneazo)]bis[8-[(4-sulfophenyl)azo]-2-naphthalenesulfonic acid sodium salt
[CAS# 93982-54-8]

Identification
Classification Organic raw materials >> Aryl compounds >> Naphthalenes
Name 5,5'-[Carbonylbis(imino-4,1-phenyleneazo)]bis[8-[(4-sulfophenyl)azo]-2-naphthalenesulfonic acid sodium salt
Molecular Structure CAS # 93982-54-8, 5,5'-[Carbonylbis(imino-4,1-phenyleneazo)]bis[8-[(4-sulfophenyl)azo]-2-naphthalenesulfonic acid sodium salt
Molecular Formula C45H32N10O13S4.x(Na)
CAS Registry Number 93982-54-8
EC Number 301-242-2
Market Analysis Reports
List of Reports Available for 5,5'-[Carbonylbis(imino-4,1-phenyleneazo)]bis[8-[(4-sulfophenyl)azo]-2-naphthalenesulfonic acid sodium salt
Related Products
2-Carboxybenzaldehyde  4'-Carboxybenzo-15-crown-5  4'-Carboxybenzo-18-crown-6  4-[(4-Carboxybenzoyl)amino]benzoic acid  2-[[2-[(2-Carboxybenzoyl)amino]ethoxy]methyl]-4-(2-chlorophenyl)-1,4-dihydro-6-methyl-3,5-pyridinedicarboxylic acid 3-ethyl 5-methyl ester  (4-Carboxybenzyl)methylbicarbamic acid dibenzyl ester  4-[[(4-Carboxybutyl)[2-[2-[[4-(2-phenylethyl)phenyl]methoxy-14C]phenyl]ethyl]amino]methyl]-benzoic acid hydrochloride  (4-Carboxybutyl)triphenylphosphonium bromide  3-[(Carboxycarbonyl)amino]-alanine  3,3'-[Carbonylbis[imino(2-methyl-4,1-phenylene)azo]]bis-1,5-naphthalenedisulfonic acid lithium sodium salt  3,3'-Carbonylbis-2-thiazolidinethione  Carbonylbis(trifluoroacetato)bis(triphenylphosphine)ruthenium  Carbonylbis(triphenylphosphine)rhodium(I) chloride  Carbonylchlorobis(triphenylphosphine)iridium  Carbonylchlorogold  Carbonylchlorohydrido[6-(di-tert-butylphosphinomethyl)-2-(N,N-diethylaminomethyl)pyridine]ruthenium(II)  Carbonylchlorohydrotris(triphenylphosphine)ruthenium  Carbonyldihydrotris(triphenylphosphine)ruthenium  1,1'-Carbonyldiimidazole  Carbonyldiiodo(pentamethylcyclopentadienyl)cobalt(III)