Online Database of Chemicals from Around the World

1,12-Dodecanediamine bis[bis[2-[2-(dodecyloxy)ethoxy]ethyl] phosphate]
[CAS# 94108-72-2]

List of Suppliers
Alfa Chemistry USA Inquire  
+1 (201) 478-8534
inquiry@alfa-chemistry.com
Chemical distributor since 2012
chemBlink standard supplier since 2012
Complete supplier list of 1,12-Dodecanediamine bis[bis[2-[2-(dodecyloxy)ethoxy]ethyl] phosphate]
Identification
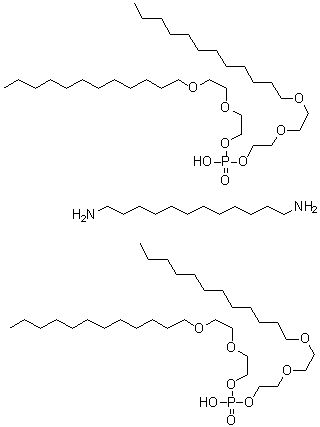
Name 1,12-Dodecanediamine bis[bis[2-[2-(dodecyloxy)ethoxy]ethyl] phosphate]
Molecular Structure CAS # 94108-72-2, 1,12-Dodecanediamine bis[bis[2-[2-(dodecyloxy)ethoxy]ethyl] phosphate]
Molecular Formula 2(C32H67O8P).C12H28N2
Molecular Weight 1422.05
CAS Registry Number 94108-72-2
EC Number 302-411-3
Market Analysis Reports
List of Reports Available for 1,12-Dodecanediamine bis[bis[2-[2-(dodecyloxy)ethoxy]ethyl] phosphate]
Related Products
(1S,2S,3aR,4R,4aS,4bS,6R,8S,8aS,9aR,10R,10aR)-Dodecahydro-2,4a,6,9a-tetramethylcyclopenta[b]fluorene-1,3a,4,6,8,8a,10(1H,4H)-heptol 4,8,8a,10-tetraacetate 1-benzoate  Dodecahydrotriphenylene  delta-Dodecalactone  Dodecamethylcyclohexasilane  Dodecamethylcyclohexasiloxane  Dodecamethylpentasiloxane  Dodecanamine  Dodecane  1,12-Dodecanebisphosphonic acid  1,12-Dodecanediamine  1,12-Dodecanedinitrile  1,12-Dodecanedioic acid  Dodecanedioic acid sodium salt, compd. with 2,2',2''-nitrilotris[ethanol]  1,2-Dodecanediol  1,12-Dodecanediol  1,12-Dodecanediol dimethacrylate  Dodecanedioyl dichloride  1,12-Dodecanedioyl dihydrazide  Dodecanenitrile  Dodecaneperoxoic acid