Online Database of Chemicals from Around the World

二(N-乙酰基-L-色氨酸)羟基铝
[CAS# 94277-56-2]

供应商目录
Alfa Chemistry 美国 询价快递  
+1 (201) 478-8534
inquiry@alfa-chemistry.com
化学品供销商 (2012年起)
chemBlink 标准供应商 (2012年起)
二(N-乙酰基-L-色氨酸)羟基铝供应商总目录
基本信息
英文名 Bis(N-acetyl-L-tryptophanato-O,ON)hydroxyaluminum
产品名称 二(N-乙酰基-L-色氨酸)羟基铝
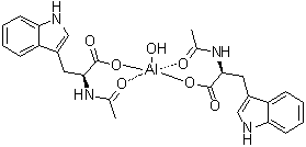
分子结构 CAS 登录号:94277-56-2, 二(N-乙酰基-L-色氨酸)羟基铝
分子式 C26H27AlN4O7
分子量 534.50
CAS 登录号 94277-56-2
EC 号码 304-640-4
市场分析报告
请浏览二(N-乙酰基-L-色氨酸)羟基铝市场分析报告总目录
相关产品
N-[1,1-双[(乙酰氧基)甲基]-3-[4-(1-氧代辛基)苯基]丙基]乙酰胺  N-[1,1-双[(乙酰氧基)甲基]-3-苯丙基]乙酰胺  (5beta,7alpha,12alpha)-7,12-双(乙酰氧基)-3-酮基胆烷-24-酸  (3alpha,5beta,12alpha)-3,12-双(乙酰氧基)-7-酮基胆烷-24-酸甲酯  3',6'-二(乙酰氧基)-3-氧代螺[异苯并呋喃-1(3H),9'-[9H]氧杂蒽]-5-羧酸(乙酰氧基)甲基酯  (E)-2-[3,4-双(乙酰氧基)苯基]乙基 3-O-(2,3,4,6-四-O-乙酰基-beta-D-吡喃葡萄糖基)-beta-D-葡萄糖苷 2,6-二乙酸酯 4-[3-[3,4-双(乙酰氧基)苯基]-2-丙烯酸]酯  3-[3,4-双(乙酰氧基)苯基]-2-丙烯酰胺  3,21-二(乙酰氧基)孕甾-1,3,5,9(11),16-五烯-20-酮  (1S,4aR,6S,6aR,7S,10aR,11aS,11bS)-1,6-二(乙酰氧基)-1,2,3,4,4a,5,6,6a,7,9,10a,11,11a,11b-十四氢-4a,10a-二羟基-4,4,11b-三甲基-9-氧代菲并[3,2-b]呋喃-7-羧酸甲酯  (1R,2R)-rel-1,2-二(乙酰氧基)-1,2,3,14-四氢-6-甲氧基-3,3,14-三甲基-7H-苯并[b]吡喃并[3,2-h]吖啶-7-酮  比沙可啶  1,7-二(9-吖啶基)庚烷  2,5-二[4-(丙烯酰氧基)苯甲酰基]异山梨糖醇酐  9,9-双[4-(2-丙烯酰氧基乙氧基)苯基]芴  二[2-(丙烯酰氧基)乙基]磷酸酯  2,2-二[丙烯酰氧基(2'-羟基丙基氧基)苯基]丙烷  1,1-双(丙烯酰氧基甲基)乙基异氰酸酯  9,9-二[(丙烯酰氧基)甲基]芴  4,6-二(1-金刚烷基)-1,3-二缩水甘油基氧基苯  双(金刚烷-1-基)(2-二甲基氨基苯基)膦