全球化学品在线数据库

安福霉素
[CAS 1402-82-0]

供应商目录
BOC Sciences 美国
www.bocsci.com
+1 (631) 485-4226
+1 (631) 614-7828
info@bocsci.com
化学品生产商
chemBlink 标准供应商 (2010年起)
重庆福腾医药有限公司 中国
www.chemieliva.com
+86 (23) 6777-0220
+86 (23) 6777-0219
jessica.hu@chemieliva.com
化学品生产商 (2010年起)
chemBlink 标准供应商 (2013年起)

基本信息
产品分类原料药 >> 抗生素类药物
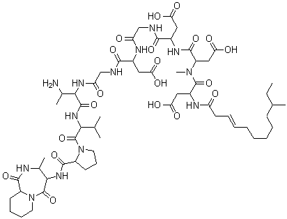
产品名称安福霉素
英文名Amphomycin
分子结构安福霉素分子结构 (CAS 1402-82-0)
分子式C58H91N13O20
分子量1290.44
CAS 登录号1402-82-0
EC 号码215-760-0
安全数据
SDS化学品安全技术说明书参考文本
市场分析报告
相关产品
安非他酮-d9盐酸盐  (1S,2S)-安非他酮N-1...  (3S,5R,6R)-安非他酮...  胺封端的聚(丙烯腈-丁二烯)  氨枫霉素  氨砜噻吨二盐酸盐二水合物  氨砜噻吨盐酸盐  氨芬酸  氨芬酸钠  铵氟化物  安福萘酸  氨氟替唑  ANG 453  铵钙三硝酸盐  氨改性 2-甲基-2-丙烯酸甲...  铵钆硫酸盐(1:1:2)  铵甘草酸盐  铵锆(2+)磷酸酯(1:1:1...  铵锆(4+)碳酸酯氢氧化物(3...  安告佛醇