全球化学品在线数据库

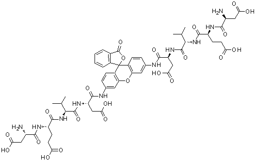
4,4'-(3-氧代螺[异苯并呋喃-1(3H),9'-[9H]氧杂蒽]-3',6'-二基)二[L-alpha-天冬氨酰-L-alpha-谷氨酰-L-缬氨酰-L-alpha-天冬氨酰胺]
[CAS 220846-75-3]

供应商目录
Creative Peptides 美国
www.creative-peptides.com
+1 (631) 624-4882
+1 (631) 614-7828
info@creative-peptides.com
化学品生产商
chemBlink 标准供应商 (2010年起)

基本信息
产品名称4,4'-(3-氧代螺[异苯并呋喃-1(3H),9'-[9H]氧杂蒽]-3',6'-二基)二[L-alpha-天冬氨酰-L-alpha-谷氨酰-L-缬氨酰-L-alpha-天冬氨酰胺]
英文名4,4'-(3-Oxospiro[isobenzofuran-1(3H),9'-[9H]xanthene]-3',6'-diyl)bis[L-alpha-aspartyl-L-alpha-glutamyl-L-valyl-L-alpha-asparagine]
分子结构4,4'-(3-氧代螺[异苯并呋喃-1(3H),9'-[9H]氧杂蒽]-3',6'-二基)二[L-alpha-天冬氨酰-L-alpha-谷氨酰-L-缬氨酰-L-alpha-天冬氨酰胺]分子结构 (CAS 220846-75-3)
分子式C56H66N10O23
分子量1247.18
CAS 登录号220846-75-3
物理化学性质
溶解度几乎不溶 (0.047 g/L) (25 °C), 计算值*
密度1.56±0.1 g/cm3 (20 °C 760 Torr), 计算值*
*使用计算机软件 Advanced Chemistry Development (ACD/Labs) Software V11.02 (©1994-2016 ACD/Labs)
市场分析报告
相关产品
2-氧代氯吡格雷-<sup>1...  2-氧代氯吡格雷羧酸  2-氧代氯吡格雷盐酸盐  4-氧代螺[2.4]庚烷-1-...  4-氧代螺[2.5]辛烷-1-...  6-氧代螺[3.3]庚烷-2-...  (6-氧代螺[4.5]癸-1-...  5'-氧代-螺[8-氮杂二环[...  1'-氧代-螺[环己基-1,3...  N,N'-[(3-氧代螺[异苯...  (3S,3'S)-4,4'-[...  1,1'-(3-氧代螺[异苯并...  11-氧代罗汉果皂甙 II E  3-氧代罗舒伐他汀钠盐  10-氧代吗啡  3-(3-氧代吗啉基)-2,4...  4-(3-氧代吗啉基)苯基异氰...  1-氧代米氮平  10-氧代米氮平  1-氧代嘧啶并[1,2-a]喹...