全球化学品在线数据库

三乙醇胺半磷酸盐
[CAS 32154-53-3]

供应商目录
Alfa Chemistry 美国
www.alfa-chemistry.com
+1 (201) 478-8534
+1 (516) 927-0118
inquiry@alfa-chemistry.com
化学品供销商 (2012年起)
chemBlink 标准供应商 (2012年起)

基本信息
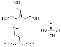
产品名称三乙醇胺半磷酸盐
英文名Triethanolamine phosphate (2:1)
分子结构三乙醇胺半磷酸盐分子结构 (CAS 32154-53-3)
分子式(C6H15NO3)2.H3PO4
分子量396.37
CAS 登录号32154-53-3
EC 号码250-935-5
安全数据
危害分类
up    说明
危害分类类别码危害标签
眼刺激Eye Irrit.2H319
皮肤刺激Skin Irrit.2H315
市场分析报告
相关产品
三异丙氧基硅烷  三异丙氧基氯化钛  三异丙氧基硼氢化钾  (三异丙氧基钛氧基)三正丁基锡  三异丙氧基氧化钒  三乙醇胺  三乙醇胺  三乙醇胺 2,5-二[(1,3...  三乙醇胺 6-[[(4-甲基苯...  (三乙醇胺)异丙醇钛络合物  三乙醇胺半壬二酸盐  三乙醇胺半辛二酸盐  三乙醇胺-d15  三乙醇胺对硝基苯甲酸盐  三乙醇胺二油酸酯  三乙醇胺环氧丙烷聚合物  三乙醇胺聚氧乙烯醚单硬脂酸酯  三乙醇胺磷酸盐  三乙醇胺邻硝基苯甲酸盐  三乙醇胺硫酸盐(1:1)