全球化学品在线数据库

蜜蜂肥大细胞脱粒肽
[CAS 32908-73-9]

供应商目录
Creative Peptides 美国
www.creative-peptides.com
+1 (631) 624-4882
+1 (631) 614-7828
info@creative-peptides.com
化学品生产商
chemBlink 标准供应商 (2010年起)

基本信息
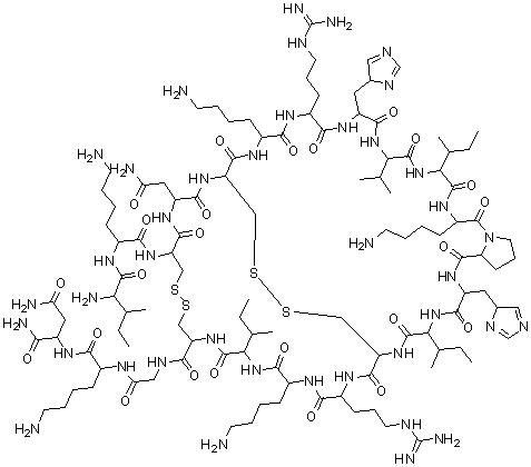
产品名称蜜蜂肥大细胞脱粒肽
英文名Mast cell degranulating peptide (honeybee)
别名Peptide 401
分子结构蜜蜂肥大细胞脱粒肽分子结构 (CAS 32908-73-9)
分子式C110H192N40O24S4
分子量2587.22
CAS 登录号32908-73-9
物理化学性质
密度1.50±0.1 g/cm3 (20 °C 760 Torr), 计算值*
*使用计算机软件 Advanced Chemistry Development (ACD/Labs) Software V11.02 (©1994-2014 ACD/Labs)
市场分析报告
相关产品
灭鼠优  灭瘟素 S 盐酸盐  灭瘟唑  灭锈胺  灭蚜磷  灭蚜松  灭蚁灵  灭幼脲  米伐木肽  米非司酮  咪芬替丁  锰福地吡  米氟嗪  锰-高氯酸水合物(1:1:1)  米格列醇  米格列奈  米格列奈钙  米格列奈钙  咪格列唑  米格鲁他