全球化学品在线数据库

二鸟苷 5',5'''-四联磷酸酯
[CAS 4130-19-2]

供应商目录
CAS: 4130-19-2
产品: 二鸟苷 5',5'''-四联磷酸酯
暂时没有厂家供应
基本信息
产品名称二鸟苷 5',5'''-四联磷酸酯
英文名Diguanosine 5',5'''-tetraphosphate
别名Diguanosine 5'-tetraphosphate; Diguanosine tetraphosphate; Gp4G; P1,P4-Diguanosine 5'-tetraphosphate
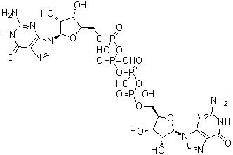
分子结构二鸟苷 5',5'''-四联磷酸酯分子结构 (CAS 4130-19-2)
分子式C20H28N10O21P4
分子量868.39
CAS 登录号4130-19-2
物理化学性质
溶解度几乎不溶 (0.016 g/L) (25 °C), 计算值*
密度2.76±0.1 g/cm3 (20 °C 760 Torr), 计算值*
*使用计算机软件 Advanced Chemistry Development (ACD/Labs) Software V11.02 (©1994-2018 ACD/Labs)
市场分析报告
相关产品
二-N-丙基乙酰基-后马托品  二-n-C6-C10-烷基邻苯...  2,9-二-N-丁基-5-苦基...  二-N-丁基-二乙二醇二邻苯二...  1,2-二-N-丁基肼  N,N-二-n-丁基-N-3-...  4,4'-二-N-丁氧基氧化偶...  二内-(3-氨基-双环[2.2...  二内-3-苯甲酰双环[2.2....  N,N-二-n-癸基苯胺  二鸟苷三磷酸酯铵盐  二鸟苷五磷酸酯铵盐  二脲鎓草酸盐  二镍(2+)原硅酸盐  二镍二磷酸盐  6'-二-N-甲基健霉素A  6'-二-N-甲基健霉素B  二-n-己基亚砜  二-N-去乙基胺碘酮  二钕三硒化物