| CAS: 515876-71-8 产品: Rh2(S-TCPTTL)4 暂时没有厂家供应 |
| 产品名称 | Rh2(S-TCPTTL)4 |
|---|---|
| 英文名 | Rh2(S-TCPTTL)4 |
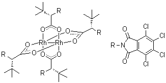
| 别名 | Tetrakis[mu-[(alphaS)-4,5,6,7-tetrachloro-alpha-(1,1-dimethylethyl)-1,3-dihydro-1,3-dioxo-2H-isoindole-2-acetato]]dirhodium |
| 分子结构 | ![]() |
| 分子式 | C56H40Cl16N4O16Rh2 |
| 分子量 | 1797.99 |
| CAS 登录号 | 515876-71-8 |
| 熔点 | >280 °C (ethyl acetate hexane )* |
|---|---|
| * | Tsutsui, Hideyuki |
| 市场分析报告 |