全球化学品在线数据库

八-(6-溴-6-脱氧)-gamma-环糊精
[CAS 53784-84-2]

供应商目录
上海拓克化学科技有限公司 中国
www.tocopharm.com
+86 (21) 3160-8287
+86 13776836200
+86 (21) 6129-2409
info@tocopharm.com
QQ Chat
化学品生产商 (2012年起)
chemBlink 标准供应商 (2009年起)
山东滨州智源生物科技有限公司 中国
www.bzzysw.com
+86 (543) 818-6048
klaus.chen@cydextrin.com
化学品生产商 (2010年起)
chemBlink 标准供应商 (2013年起)
成都诺维尔生物医药有限公司 中国
www.cd-novel.com
+86 (28) 8525-5396
+86 (28) 8525-5396
1804765996@qq.com
化学品生产商 (2013年起)
chemBlink 标准供应商 (2018年起)

基本信息
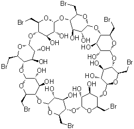
产品名称八-(6-溴-6-脱氧)-gamma-环糊精
英文名Octakis-(6-bromo-6-deoxy)-gamma-cyclodextrin
别名6-Bromo-6-deoxy-gamma-cyclodextrin
分子结构八-(6-溴-6-脱氧)-gamma-环糊精分子结构 (CAS 53784-84-2)
分子式C48H72Br8O32
分子量1800.30
CAS 登录号53784-84-2
EC 号码611-044-0
物理化学性质
溶解度极微溶解 (0.61 g/L) (25 °C), 计算值*
密度1.948±0.06 g/cm3 (20 °C 760 Torr), 计算值*
*使用计算机软件 Advanced Chemistry Development (ACD/Labs) Software V11.02 (©1994-2014 ACD/Labs)
安全数据
危害分类
up    说明
危害分类类别码危害标签
对水生环境急性有害Aquatic Acute1H400
对水生环境长期有害Aquatic Chronic1H410
SDS化学品安全技术说明书参考文本
市场分析报告
相关产品
1,3,5,7,9,11,13...  2,2,4,4,6,6,8,8...  钯(2+)氯化物1,2-乙烷二...  钯(2+)氯化物2-烯丙基苯胺...  钯(2+)氯化物-6-甲基-2...  钯(2+)亚硝酸盐氨合物(1:...  1,3,5,7,9,11,13...  八(2-羟基丙基)蔗糖  1,3,5,7,9,11,13...  八(6-巯基-6-脱氧)-ga...  八(苯胺基)八(苯硫基)酞菁氧...  1,1,2,2,3,3,4,4...  2,2,4,4,6,6,8,8...  钯(II)[3-(二苯基膦基)...  钯(II)硫酸盐水合物  八(O-氰基乙基)蔗糖  八(叔丁氧基)-谷氨酰-叔丁氧...  Tbubrettphos 钯(...  tBuXPhos 钯(烯丙基)...  [2,3,9,10,16,17...