全球化学品在线数据库

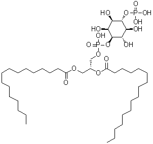
(R)-D-myo-肌醇 1-[2,3-二[(1-氧代十六烷基)氧基]丙基氢磷酸酯] 4-(磷酸二氢酯)
[CAS 57606-15-2]

供应商目录
卡博森斯化学科技 (苏州) 有限公司 中国
www.carbosynth.cn
+86 (512) 6260-5585
+86 (512) 6260-5576
sales@carbosynth.com
QQ Chat
化学品生产商 (2006年起)
chemBlink 标准供应商 (2016年起)

基本信息
产品名称(R)-D-myo-肌醇 1-[2,3-二[(1-氧代十六烷基)氧基]丙基氢磷酸酯] 4-(磷酸二氢酯)
英文名(R)-D-myo-Inositol 1-[2,3-bis[(1-oxohexadecyl)oxy]propyl hydrogen phosphate] 4-(dihydrogen phosphate)
分子结构(R)-D-myo-肌醇 1-[2,3-二[(1-氧代十六烷基)氧基]丙基氢磷酸酯] 4-(磷酸二氢酯)分子结构 (CAS 57606-15-2)
分子式C41H80O16P2
分子量891.01
CAS 登录号57606-15-2
物理化学性质
溶解度不溶 (6.7E-5 g/L) (25 °C), 计算值*
密度1.21±0.1 g/cm3 (20 °C 760 Torr), 计算值*
*使用计算机软件 Advanced Chemistry Development (ACD/Labs) Software V11.02 (©1994-2016 ACD/Labs)
市场分析报告
相关产品
myo-肌醇 1,3,5-三(...  D-myo-肌醇 1,4,5,...  D-myo-肌醇 1,4,5,...  D-myo-肌醇 1,4,5,...  D-myo-肌醇 1,4,5-...  D-肌醇 1,4,5-三(磷酸...  D-myo-肌醇 1,4,6-...  myo-肌醇 1,4-二磷酰硫...  myo-肌醇 1,6:2,3:...  D-myo-肌醇 1-[(2R...  myo-肌醇 1-磷酸酯  肌醇 2,4,5-三磷酸酯  D-myo-肌醇 3,4,5,...  肌醇 3,4-二磷酸酯  D-myo-肌醇 3-磷酸酯  D-肌醇 4-(磷酸二氢酯)二...  肌醇 4,5-双磷酸酯  D-myo-肌醇 4-单磷酸酯  肌醇 4-磷酸酯  myo-肌醇1,2,3,4,5...