| 青岛博智汇力生物科技有限公司 | 中国 | |||
|---|---|---|---|---|
![]() | www.marine-oligo.com | |||
![]() | +86 (532) 8192-6227 | |||
![]() | +86 (532) 8192-6219 | |||
![]() | ann@marine-oligo.com | |||
| 化学品生产商 (2010年起) | ||||
| chemBlink 标准供应商 (2016年起) | ||||
| 卡博森斯化学科技 (苏州) 有限公司 | 中国 | |||
|---|---|---|---|---|
![]() | www.carbosynth.cn | |||
![]() | +86 (512) 6260-5585 | |||
![]() | +86 (512) 6260-5576 | |||
![]() | sales@carbosynth.com | |||
![]() | QQ Chat | |||
| 化学品生产商 (2006年起) | ||||
| chemBlink 标准供应商 (2016年起) | ||||
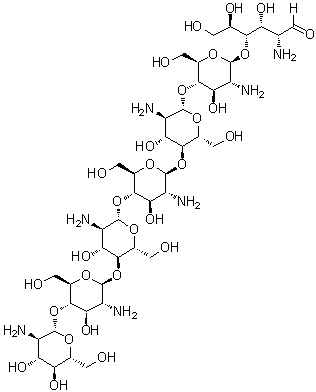
| 产品名称 | 壳七糖 |
|---|---|
| 英文名 | Chitoheptaose |
| 别名 | O-2-Amino-2-deoxy-beta-D-glucopyranosyl-(1→4)-O-2-amino-2-deoxy-beta-D-glucopyranosyl-(1→4)-O-2-amino-2-deoxy-beta-D-glucopyranosyl-(1→4)-O-2-amino-2-deoxy-beta-D-glucopyranosyl-(1→4)-O-2-amino-2-deoxy-beta-D-glucopyranosyl-(1→4)-O-2-amino-2-deoxy-beta-D-glucopyranosyl-(1→4)-2-amino-2-deoxy-D-glucose |
| 分子结构 | ![]() |
| 分子式 | C42H79N7O29 |
| 分子量 | 1146.11 |
| CAS 登录号 | 68232-35-9 |
| 溶解度 | 极易溶解 (1000 g/L) (25 °C), 计算值* |
|---|---|
| 密度 | 1.72±0.1 g/cm3 (20 °C 760 Torr), 计算值* |
| * | 使用计算机软件 Advanced Chemistry Development (ACD/Labs) Software V11.02 (©1994-2016 ACD/Labs) |
| 市场分析报告 |