全球化学品在线数据库

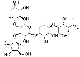
O-alpha-L-呋喃阿拉伯糖基-(1→3)-O-[beta-D-吡喃木糖基-(1→4)]-O-beta-D-吡喃木糖基-(1→4)-O-beta-D-吡喃木糖基-(1→4)-D-木糖
[CAS 84666-93-3]

供应商目录
卡博森斯化学科技 (苏州) 有限公司 中国
www.carbosynth.cn
+86 (512) 6260-5585
+86 (512) 6260-5576
sales@carbosynth.com
QQ Chat
化学品生产商 (2006年起)
chemBlink 标准供应商 (2016年起)

基本信息
产品名称O-alpha-L-呋喃阿拉伯糖基-(1→3)-O-[beta-D-吡喃木糖基-(1→4)]-O-beta-D-吡喃木糖基-(1→4)-O-beta-D-吡喃木糖基-(1→4)-D-木糖
英文名O-alpha-L-Arabinofuranosyl-(1→3)-O-[beta-D-xylopyranosyl-(1→4)]-O-beta-D-xylopyranosyl-(1→4)-O-beta-D-xylopyranosyl-(1→4)-D-xylose
分子结构O-alpha-L-呋喃阿拉伯糖基-(1→3)-O-[beta-D-吡喃木糖基-(1→4)]-O-beta-D-吡喃木糖基-(1→4)-O-beta-D-吡喃木糖基-(1→4)-D-木糖分子结构 (CAS 84666-93-3)
分子式C25H42O21
分子量678.59
CAS 登录号84666-93-3
物理化学性质
溶解度易溶 (150 g/L) (25 °C), 计算值*
密度1.75±0.1 g/cm3 (20 °C 760 Torr), 计算值*
*使用计算机软件 Advanced Chemistry Development (ACD/Labs) Software V11.02 (©1994-2016 ACD/Labs)
市场分析报告
相关产品
呋喃-3-基氨基甲酸叔丁酯  (2Z)-2-[(E,2R)-...  2-[(E)-9-[5-(呋喃...  5-呋喃-3-基-5-羟基戊烷...  1-(1-呋喃-3-基乙基)-...  (3S,4R,4aS,8aS)...  (2S,5R,6R)-6-[(...  呋喃-3-硼酸频哪醇酯  2-(呋喃-3-羰基)-1,1...  呋喃-5-磺酸-2-甲酸  9-beta-D-呋喃阿拉伯糖...  9-beta-D-呋喃阿拉伯糖...  呋喃苯烯酸钠  5H-呋喃并(3,2-g)(1...  2H-呋喃并[2,3,4-Ij...  呋喃并[2',3':3,4]萘...  呋喃并[2',3':4,5][...  呋喃并[2,3-b][1]苯并...  呋喃并[2,3-b]吡啶  呋喃并[2,3-b]吡啶-2-...