| 宇瑞 (上海) 化学有限公司 | 中国 | |||
|---|---|---|---|---|
![]() | www.riyngroup.com | |||
![]() | +86 (21) 3319-1321 ex 816 +86 13032131612 | |||
![]() | +86 (21) 6085-3441 | |||
![]() | yu@riyngroup.com info@riyngroup.com | |||
![]() | QQ Chat | |||
| 化学品生产商 (2009年起) | ||||
| chemBlink 标准供应商 (2008年起) | ||||
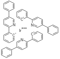
| 产品名称 | 三[2-(5-苯基-吡啶-2-基)苯]合铱 |
|---|---|
| 英文名 | Tris[2-(5-phenyl-2-pyridinyl)phenyl]-iridium |
| 分子结构 | ![]() |
| 分子式 | C51H36IrN3 |
| 分子量 | 883.07 |
| CAS 登录号 | 852151-17-8 |
| SDS | 化学品安全技术说明书参考文本 |
|---|---|
| 市场分析报告 |