全球化学品在线数据库

Lipid A 406
[CAS 91841-27-9]

供应商目录
卡博森斯化学科技 (苏州) 有限公司 中国
www.carbosynth.cn
+86 (512) 6260-5585
+86 (512) 6260-5576
sales@carbosynth.com
QQ Chat
化学品生产商 (2006年起)
chemBlink 标准供应商 (2016年起)

基本信息
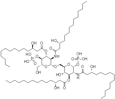
产品名称Lipid A 406
英文名Lipid A 406
别名2-Deoxy-6-O-[2-deoxy-3-O-[(3R)-3-hydroxy-1-oxotetradecyl]-2-[[(3R)-3-hydroxy-1-oxotetradecyl]amino]-4-O-phosphono-beta-D-glucopyranosyl]-2-[[(3R)-3-hydroxy-1-oxotetradecyl]amino]-alpha-D-glucopyranose 1-(dihydrogen phosphate) 3-[(3R)-3-hydroxytetradecanoate]; Compound 406; Glycophospholipids, lipid IV A; LA 14PP
分子结构Lipid A 406分子结构 (CAS 91841-27-9)
分子式C68H130N2O23P2
分子量1405.71
CAS 登录号91841-27-9
物理化学性质
溶解度不溶 (2.0E-5 g/L) (25 °C), 计算值*
密度1.21±0.1 g/cm3 (20 °C 760 Torr), 计算值*
*使用计算机软件 Advanced Chemistry Development (ACD/Labs) Software V11.02 (©1994-2016 ACD/Labs)
市场分析报告
相关产品
磷脂酰乙醇胺  DL-alpha-磷脂酰乙醇胺  3-sn-磷脂酰乙醇胺  邻仲丁基苯酚  利帕西泮  Lipedoside B II...  利培酮  利培酮 E-肟  利培酮 N-氧化物  利喷西平  Lipid ALC-0159  利匹韦林  利匹韦林-d6  利匹韦林盐酸盐  Liporeduct  锂羟基苯磺酸盐  锂羟基硬脂酸盐  沥青  沥青  沥青,石油