Online Database of Chemicals from Around the World

2-L-丙氨酸-3-L-丙氨酸-5-L-丙氨酸-6-(2-甲基丙氨酸)-9-L-亮氨酸-18-L-谷氨酰胺-丙甲甘肽I
[CAS# 121689-07-4]

供应商
CAS#: 121689-07-4
产品: 2-L-丙氨酸-3-L-丙氨酸-5-L-丙氨酸-6-(2-甲基丙氨酸)-9-L-亮氨酸-18-L-谷氨酰胺-丙甲甘肽I
暂时没有厂家供应该产品。
基本信息
产品名称 2-L-丙氨酸-3-L-丙氨酸-5-L-丙氨酸-6-(2-甲基丙氨酸)-9-L-亮氨酸-18-L-谷氨酰胺-丙甲甘肽I
英文名 2-L-Alanine-3-L-Alanine-5-L-Alanine-6-(2-Methylalanine)-9-L-Leucine-18-L-Glutamine-Alamethicin I
别名 Trichosporin B-Iiic
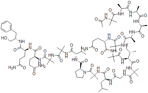
分子结构 CAS 登录号:121689-07-4, 2-L-丙氨酸-3-L-丙氨酸-5-L-丙氨酸-6-(2-甲基丙氨酸)-9-L-亮氨酸-18-L-谷氨酰胺-丙甲甘肽I
分子式 C90H149N23O24
分子量 1937.31
CAS 登录号 121689-07-4
分子行输入简码 SMILES [C@@H](CC)(C)[C@H](NC(=O)C(C)(C)NC(=O)[C@H](CCC(N)=O)NC(=O)C(C)(C)NC(=O)[C@H](C)NC(=O)[C@H](C)NC(=O)[C@H](C)NC(=O)[C@H](C)NC(=O)C(C)(C)NC(C)=O)C(=O)NC(C)(C)C(=O)NCC(=O)N[C@@H](CC(C)C)C(=O)NC(C)(C)C(=O)N1CCC[C@H]1C(=O)N[C@@H](C(C)C)C(=O)NC(C)(C)C(=O)NC(C)(C)C(=O)N[C@@H](CCC(N)=O)C(=O)N[C@@H](CCC(N)=O)C(=O)N[C@H](CO)CC2=CC=CC=C2
国际化学标识码 InChI 1S/C90H149N23O24/c1-26-47(6)65(105-81(135)87(18,19)108-72(126)57(36-39-62(93)118)103-79(133)86(16,17)107-69(123)51(10)97-67(121)49(8)95-66(120)48(7)96-68(122)50(9)98-78(132)85(14,15)106-52(11)115)76(130)111-84(12,13)77(131)94-43-63(119)100-58(41-45(2)3)73(127)109-90(24,25)83(137)113-40-30-33-59(113)74(128)104-64(46(4)5)75(129)110-89(22,23)82(136)112-88(20,21)80(134)102-56(35-38-61(92)117)71(125)101-55(34-37-60(91)116)70(124)99-54(44-114)42-53-31-28-27-29-32-53/h27-29,31-32,45-51,54-59,64-65,114H,26,30,33-44H2,1-25H3,(H2,91,116)(H2,92,117)(H2,93,118)(H,94,131)(H,95,120)(H,96,122)(H,97,121)(H,98,132)(H,99,124)(H,100,119)(H,101,125)(H,102,134)(H,103,133)(H,104,128)(H,105,135)(H,106,115)(H,107,123)(H,108,126)(H,109,127)(H,110,129)(H,111,130)(H,112,136)/t47-,48-,49-,50-,51-,54-,55-,56-,57-,58-,59-,64-,65-/m0/s1
国际化学标识检索码 InChIKey NMJOEBWZMYWVIQ-RDOSJKPVSA-N
市场分析报告
请浏览2-L-丙氨酸-3-L-丙氨酸-5-L-丙氨酸-6-(2-甲基丙氨酸)-9-L-亮氨酸-18-L-谷氨酰胺-丙甲甘肽I市场分析报告总目录
相关产品
Trichokonin VIII  N-[1-[1-(2-氨基-2-氧代乙基)四唑-5...  2-[13-[[4-[(2-溴乙酰基)氨基]苯基]...  2-[(8S,9S,10S,11S,13S,14S...  苯基次磷酸  (Z)-6-[(1R,4S,5R,6R)-6-[[...  (3R,4R)-3-[(2R)-1-甲基吡咯烷-2...  (3S,4S)-3-[(2R)-1-甲基吡咯烷-2...  (3R,4S)-3-[(2R)-1-甲基吡咯烷-2...  1-(3,4-二羟基苯基)-2-(3-甲基咪唑-3...  2-(1,1,2,3,3-五甲基-2H-茚-5-基...  (8S,9S,13S,14S)-13-甲基-6,7...  二-mu-羰基二(eta5-2,4-环戊二烯-1-...  3-O-(beta-D-呋喃芹糖基(1-2)-be...  2-[[2-[2-[2-(二(羧甲基)氨基)-5-...