Online Database of Chemicals from Around the World

Preprorenin (63-73)
[CAS# 137051-72-0]

Suppliers
CAS#: 137051-72-0
Product: Preprorenin (63-73)
No suppilers available for the product.
Identification
Name Preprorenin (63-73)
Synonyms (2S)-2-[[2-[[(2S)-2-[[(2S,3R)-2-[[(2S)-2-[[(2S)-2-[[(2S)-6-Amino-2-[[(2S)-4-Methylsulfanyl-2-[[(2S)-Pyrrolidine-2-Carbonyl]Amino]Butanoyl]Amino]Hexanoyl]Amino]-5-Guanidino-Pentanoyl]Amino]-4-Methyl-Pentanoyl]Amino]-3-Hydroxy-Butanoyl]Amino]-4-Methyl-Pentanoyl]Amino]Acetyl]Amino]-N-[(1S,2R)-1-[[(1S,2R)-1-Carbamoyl-2-Hydroxy-Propyl]Carbamoyl]-2-Hydroxy-Propyl]Butanediamide; (2S)-2-[[2-[[(2S)-2-[[(2S,3R)-2-[[(2S)-2-[[(2S)-2-[[(2S)-6-Amino-2-[[(2S)-4-(Methylthio)-1-Oxo-2-[[Oxo-[(2S)-2-Pyrrolidinyl]Methyl]Amino]Butyl]Amino]-1-Oxohexyl]Amino]-5-Guanidino-1-Oxopentyl]Amino]-4-Methyl-1-Oxopentyl]Amino]-3-Hydroxy-1-Oxobutyl]Amino]-4-Methyl-1-Oxopentyl]Amino]-1-Oxoethyl]Amino]-N-[(1S,2R)-1-[[[(1S,2R)-1-Carbamoyl-2-Hydroxypropyl]Amino]-Oxomethyl]-2-Hydroxypropyl]Butanediamide; (2S)-2-[[2-[[(2S)-2-[[(2S,3R)-2-[[(2S)-2-[[(2S)-2-[[(2S)-6-Amino-2-[[(2S)-4-(Methylthio)-2-(Prolylamino)Butanoyl]Amino]Hexanoyl]Amino]-5-Guanidino-Pentanoyl]Amino]-4-Methyl-Pentanoyl]Amino]-3-Hydroxy-Butanoyl]Amino]-4-Methyl-Pentanoyl]Amino]Acetyl]Amino]-N-[(1S,2R)-1-[[(1S,2R)-1-Carbamoyl-2-Hydroxy-Propyl]Carbamoyl]-2-Hydroxy-Propyl]Succinamide
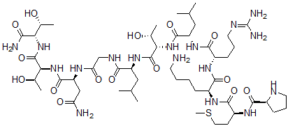
Molecular Structure CAS#: 137051-72-0, Preprorenin (63-73)
Molecular Formula C52H95N17O15S
Molecular Weight 1230.49
CAS Registry Number 137051-72-0
SMILES [C@@H]1(NCCC1)C(=O)N[C@@H](CCSC)C(=O)N[C@@H](CCCCN)C(=O)N[C@@H](CCCN=C(N)N)C(=O)N[C@@H](CC(C)C)C(=O)N[C@@H]([C@H](O)C)C(=O)N[C@@H](CC(C)C)C(=O)NCC(=O)N[C@H](C(=O)N[C@@H]([C@H](O)C)C(=O)N[C@@H]([C@H](O)C)C(=O)N)CC(=O)N
InChI 1S/C52H95N17O15S/c1-25(2)21-34(43(76)60-24-38(74)61-36(23-37(54)73)49(82)69-41(29(7)72)51(84)67-39(27(5)70)42(55)75)66-50(83)40(28(6)71)68-48(81)35(22-26(3)4)65-46(79)32(15-12-19-59-52(56)57)63-45(78)31(13-9-10-17-53)62-47(80)33(16-20-85-8)64-44(77)30-14-11-18-58-30/h25-36,39-41,58,70-72H,9-24,53H2,1-8H3,(H2,54,73)(H2,55,75)(H,60,76)(H,61,74)(H,62,80)(H,63,78)(H,64,77)(H,65,79)(H,66,83)(H,67,84)(H,68,81)(H,69,82)(H4,56,57,59)/t27-,28-,29-,30+,31+,32+,33+,34+,35+,36+,39+,40+,41+/m1/s1
InChIKey REBDZYDHBOZQIZ-FCLOLONZSA-N
Properties
Density 1.459g/cm3 (Cal.)
Market Analysis Reports
List of Reports Available for Preprorenin (63-73)
Related Products
3,3-Dimethyl-4-Phenylbutan-2-One  [(3S,8S,9S,10R,13R,14S,17R)-10,13-Dimeth...  Bromodifluorophosphine Sulfide  Dibromofluorophosphine Sulfide  Phenylsuccinonitrile  Digoxigenin-11-2',3'-dideoxyuridine 5'-t...  Heptane-3,4-Dione  Potassium 2-Biphenylate  Alprenolol Hydrochloride  1-(4-Allylphenoxy)-3-(Isopropylamino)-2-...  Biotin-lys-tyr-gly-gly-gly-gly-gly-gly-a...  3-(Butanoylamino)Benzamide  [(E,3S)-1-(2,6,6-Trimethyl-1-Cyclohexeny...  Barium Zirconium Silicate (1:1:3)  Phosphonic Acid Disodium Salt