Online Database of Chemicals from Around the World

对-硝基苄基-肟-泰乐菌素
[CAS# 145144-30-5]

供应商
CAS#: 145144-30-5
产品: 对-硝基苄基-肟-泰乐菌素
暂时没有厂家供应该产品。
基本信息
产品名称 对-硝基苄基-肟-泰乐菌素
英文名 para-Nitrobenzyl-oxime-tylosine
别名 2-[(10Z,11Z,13E)-6-[5-(4,5-Dihydroxy-4,6-Dimethyloxan-2-Yl)Oxy-4-Dimethylamino-3-Hydroxy-6-Methyloxan-2-Yl]Oxy-16-Ethyl-4-Hydroxy-15-[(5-Hydroxy-3,4-Dimethoxy-6-Methyloxan-2-Yl)Oxymethyl]-5,9,13-Trimethyl-10-[(4-Nitrophenyl)Methoxyimino]-2-Oxo-1-Oxacyclohexadeca-11,13-Dien-7-Yl]Acetaldehyde; 2-[(10Z,11E,13E)-6-[5-(4,5-Dihydroxy-4,6-Dimethyl-Tetrahydropyran-2-Yl)Oxy-4-Dimethylamino-3-Hydroxy-6-Methyl-Tetrahydropyran-2-Yl]Oxy-16-Ethyl-4-Hydroxy-15-[(5-Hydroxy-3,4-Dimethoxy-6-Methyl-Tetrahydropyran-2-Yl)Oxymethyl]-5,9,13-Trimethyl-10-[(4-Nitrophenyl)Methoxyimino]-2-Oxo-1-Oxacyclohexadeca-11,13-Dien-7-Yl]Acetaldehyde; 2-[(10Z,11Z,13E)-6-[5-(4,5-Dihydroxy-4,6-Dimethyl-Tetrahydropyran-2-Yl)Oxy-4-Dimethylamino-3-Hydroxy-6-Methyl-Tetrahydropyran-2-Yl]Oxy-16-Ethyl-4-Hydroxy-15-[(5-Hydroxy-3,4-Dimethoxy-6-Methyl-Tetrahydropyran-2-Yl)Oxymethyl]-5,9,13-Trimethyl-10-[(4-Nitrophenyl)Methoxyimino]-2-Oxo-1-Oxacyclohexadeca-11,13-Dien-7-Yl]Acetaldehyde
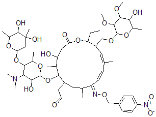
分子结构 CAS 登录号:145144-30-5, 对-硝基苄基-肟-泰乐菌素
分子式 C53H83N3O19
分子量 1066.25
CAS 登录号 145144-30-5
分子行输入简码 SMILES C5=C(CO\N=C/4C(CC(C(OC2OC(C(OC1OC(C(O)C(O)(C1)C)C)C(N(C)C)C2O)C)C(C(O)CC(OC(C(COC3OC(C(O)C(OC)C3OC)C)\C=C(\C=C4)C)CC)=O)C)CC=O)C)C=CC(=C5)[N+]([O-])=O
国际化学标识码 InChI 1S/C53H83N3O19/c1-13-40-36(27-68-52-49(67-12)48(66-11)44(60)31(5)71-52)22-28(2)14-19-38(54-69-26-34-15-17-37(18-16-34)56(64)65)29(3)23-35(20-21-57)46(30(4)39(58)24-41(59)73-40)75-51-45(61)43(55(9)10)47(32(6)72-51)74-42-25-53(8,63)50(62)33(7)70-42/h14-19,21-22,29-33,35-36,39-40,42-52,58,60-63H,13,20,23-27H2,1-12H3/b19-14+,28-22+,54-38+
国际化学标识检索码 InChIKey FASAVLQPELYIAC-GGNIGIDXSA-N
市场分析报告
请浏览对-硝基苄基-肟-泰乐菌素市场分析报告总目录
相关产品
3,4-二羟基-5-[(8E,10E,14Z,16...  3,4-二羟基-5-[(8E,10E,14E,16...  N-(二氢-5',6-二羟基螺(4,8-二氧杂三环...  Aranorosinol B  二钠4,4'-[(2,4-二氨基-1,3-亚苯基)...  [4-(苯基甲基氨基)苯基]甲醇  [3-[(E)-甲氧基亚氨基甲基]-5,6-二氢-...  钾四氰基钯酸盐(II)三水合物  四(硫氰酸基-S)钯酸二钾盐  7-(4-氨基-5-羟基-6-甲基四氢吡喃-2-基...  7-(4-氨基-5-羟基-6-甲基四氢吡喃-2-基...  培拉嗪二马来酸盐  Co-(羧甲基)钴胺素  (3Z,5Z,9Z,13Z,15Z)-8-羟基-3...  N-苄基-N-(4,5-二氢-1H-咪唑-2-基甲...