Online Database of Chemicals from Around the World

jaspisamide A
[CAS# 149420-76-8]

供应商
CAS#: 149420-76-8
产品: jaspisamide A
暂时没有厂家供应该产品。
基本信息
产品名称 jaspisamide A
英文名 jaspisamide A
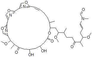
分子结构 CAS 登录号:149420-76-8, jaspisamide A
分子式 C44H62N4O13
分子量 854.99
CAS 登录号 149420-76-8
分子行输入简码 SMILES C(C4OC(=O)CC(O)CC(O)CC(=O)C(C(OC)C1=COC(=N1)C2=COC(=N2)C3=COC(=N3)\C=C/CCC4C)C)C(OC)C(CCC(=O)C(C(OC)C\C=C\N(C=O)C)C)C
国际化学标识码 InChI 1S/C44H62N4O13/c1-26-12-9-10-14-40-45-33(23-58-40)43-47-34(24-60-43)44-46-32(22-59-44)42(57-8)29(4)36(53)19-30(50)18-31(51)20-41(54)61-39(26)21-38(56-7)27(2)15-16-35(52)28(3)37(55-6)13-11-17-48(5)25-49/h10-11,14,17,22-31,37-39,42,50-51H,9,12-13,15-16,18-21H2,1-8H3/b14-10-,17-11+
国际化学标识检索码 InChIKey ZFFIZZXYOLCUDD-AIXGLBGOSA-N
物理化学性质
密度 1.25g/cm3 (计算值)
沸点 1005.265°C at 760 mmHg (计算值)
闪点 561.764°C (计算值)
市场分析报告
请浏览jaspisamide A市场分析报告总目录
相关产品
Jaspisamide B  Jaspisamide C  3-(9,10-二氢-4H-苯并[4,5]环庚并[...  N-(N-甘氨酰-甘氨酰)-8-赖氨酰-加压素  N-(2,5-二氨基-6-氧代-3H-嘧啶-4-基...  [(1R,5S,6R,7R,8S)-6-(3,4-...  (5-氟-2,4-二氧代嘧啶-1-基)甲基2-[(...  3-甲基-1,2,3,4-四氢萘-1-酮  9-丙氨酰胺-赖氨酰-加压素  (3R,4S,5R)-5-(羧甲基-(膦酰甲基)氨...  4,5-二羟基苯-1,3-二磺酸  (1S-(1alpha,3abeta,4aalph...  8,10a-二羟基-3,11-二甲基-1,2-二氢...  天冬氨酰-精氨酰-天冬氨酰胺酰-苯丙氨酰-亮氨酰-...  原卟啉镁