Online Database of Chemicals from Around the World

1-[2-[[2-[[2-[[2-[3-(Dotetracontenyl)-2,5-Dioxo-1-Pyrrolidinyl]Ethyl]Amino]Ethyl]Amino]Ethyl]Amino]Ethyl]-3-(Hexatriacontenyl)Pyrrolidine-2,5-Dione
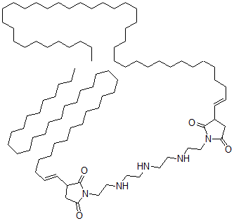
[CAS# 64346-93-6]

Suppliers
CAS#: 64346-93-6
Product: 1-[2-[[2-[[2-[[2-[3-(Dotetracontenyl)-2,5-Dioxo-1-Pyrrolidinyl]Ethyl]Amino]Ethyl]Amino]Ethyl]Amino]Ethyl]-3-(Hexatriacontenyl)Pyrrolidine-2,5-Dione
No suppilers available for the product.
Identification
Name 1-[2-[[2-[[2-[[2-[3-(Dotetracontenyl)-2,5-Dioxo-1-Pyrrolidinyl]Ethyl]Amino]Ethyl]Amino]Ethyl]Amino]Ethyl]-3-(Hexatriacontenyl)Pyrrolidine-2,5-Dione
Synonyms 3-[(E)-Dotetracont-1-Enyl]-1-[2-[2-[2-[2-[3-[(E)-Hexatriacont-1-Enyl]-2,5-Dioxo-Pyrrolidin-1-Yl]Ethylamino]Ethylamino]Ethylamino]Ethyl]Pyrrolidine-2,5-Dione; 3-[(E)-Dotetracont-1-Enyl]-1-[2-[2-[2-[2-[3-[(E)-Hexatriacont-1-Enyl]-2,5-Dioxo-1-Pyrrolidinyl]Ethylamino]Ethylamino]Ethylamino]Ethyl]Pyrrolidine-2,5-Dione; 3-[(E)-Dotetracont-1-Enyl]-1-[2-[2-[2-[2-[3-[(E)-Hexatriacont-1-Enyl]-2,5-Diketo-Pyrrolidin-1-Yl]Ethylamino]Ethylamino]Ethylamino]Ethyl]Pyrrolidine-2,5-Quinone
Molecular Structure CAS#: 64346-93-6, 1-[2-[[2-[[2-[[2-[3-(Dotetracontenyl)-2,5-Dioxo-1-Pyrrolidinyl]Ethyl]Amino]Ethyl]Amino]Ethyl]Amino]Ethyl]-3-(Hexatriacontenyl)Pyrrolidine-2,5-Dione
Molecular Formula C94H179N5O4
Molecular Weight 1443.48
CAS Registry Number 64346-93-6
EINECS 264-817-6
SMILES C(/C=C/C1C(N(C(C1)=O)CCNCCNCCNCCN2C(C(CC2=O)\C=C\CCCCCCCCCCCCCCCCCCCCCCCCCCCCCCCCCCCCCCCC)=O)=O)CCCCCCCCCCCCCCCCCCCCCCCCCCCCCCCCC
InChI 1S/C94H179N5O4/c1-3-5-7-9-11-13-15-17-19-21-23-25-27-29-31-33-35-37-39-40-41-42-43-44-46-48-50-52-54-56-58-60-62-64-66-68-70-72-74-76-78-90-88-92(101)99(94(90)103)86-84-97-82-80-95-79-81-96-83-85-98-91(100)87-89(93(98)102)77-75-73-71-69-67-65-63-61-59-57-55-53-51-49-47-45-38-36-34-32-30-28-26-24-22-20-18-16-14-12-10-8-6-4-2/h75-78,89-90,95-97H,3-74,79-88H2,1-2H3/b77-75+,78-76+
InChIKey WADLXYIJPAJYHH-VGWDHYGUSA-N
Market Analysis Reports
List of Reports Available for 1-[2-[[2-[[2-[[2-[3-(Dotetracontenyl)-2,5-Dioxo-1-Pyrrolidinyl]Ethyl]Amino]Ethyl]Amino]Ethyl]Amino]Ethyl]-3-(Hexatriacontenyl)Pyrrolidine-2,5-Dione
Related Products
1-[2-[[2-[[2-[[2-[2,5-Dioxo-3-(Tetratetr...  1-[2-[[2-[[2-[[2-[2,5-Dioxo-3-(Tetracose...  1,1'-[Iminobis(Ethyleneiminoethylene)]Bi...  3-(Tetracosenyl)Succinic Anhydride  3-(Octatriacontenyl)Succinic Anhydride  3-(Tetracontenyl)Succinic Anhydride  2-Chloro-5-[[5-Hydroxy-4-[(2-Hydroxy-1-N...  2,3,4,4a,5,6,7,8-Octahydro-2,5,5-Trimeth...  5-Acetyl-4-Hydroxy-3-[1-[(4-Hydroxy-3-Ni...  5-Acetyl-3-[1-[(3-Amino-4-Hydroxyphenyl)...  Ethyl 2-Acetylnon-2-Enoate  3-(Isodecyloxy)Propiononitrile  2-Bromo-4-N-Butylacetophenone  13,20-Epoxy-1beta,11beta,12alpha,14-Tetr...  Mycorrhizin A