Online Database of Chemicals from Around the World

1-棕榈酰-2-芘癸酰磷脂酰胆碱
[CAS# 70700-33-3]

供应商
CAS#: 70700-33-3
产品: 1-棕榈酰-2-芘癸酰磷脂酰胆碱
暂时没有厂家供应该产品。
基本信息
产品名称 1-棕榈酰-2-芘癸酰磷脂酰胆碱
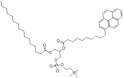
英文名 1-Palmitoyl-2-Pyrenedecanoylphosphatidylcholine
别名 [3-Hexadecanoyloxy-2-(10-Pyren-1-Yldecanoyloxy)Propyl] 2-Trimethylammonioethyl Phosphate; [3-(1-Oxohexadecoxy)-2-[1-Oxo-10-(1-Pyrenyl)Decoxy]Propyl] 2-Trimethylammonioethyl Phosphate; 1-Palmitoyl-2-Pyrenedecanoyl-Sn-Glycero-3-Phosphocholine
分子结构 CAS 登录号:70700-33-3, 1-棕榈酰-2-芘癸酰磷脂酰胆碱
分子式 C50H76NO8P
分子量 850.13
CAS 登录号 70700-33-3
分子行输入简码 SMILES C1=CC4=C3C2=C1C(=CC=C2C=CC3=CC=C4)CCCCCCCCCC(OC(CO[P](OCC[N+](C)(C)C)(=O)[O-])COC(CCCCCCCCCCCCCCC)=O)=O
国际化学标识码 InChI 1S/C50H76NO8P/c1-5-6-7-8-9-10-11-12-13-14-17-20-23-29-47(52)56-39-45(40-58-60(54,55)57-38-37-51(2,3)4)59-48(53)30-24-21-18-15-16-19-22-26-41-31-32-44-34-33-42-27-25-28-43-35-36-46(41)50(44)49(42)43/h25,27-28,31-36,45H,5-24,26,29-30,37-40H2,1-4H3
国际化学标识检索码 InChIKey ZZLOWUUVDRBGKM-UHFFFAOYSA-N
市场分析报告
请浏览1-棕榈酰-2-芘癸酰磷脂酰胆碱市场分析报告总目录
相关产品
(2-(4-硝基苯基)烯丙基)三甲基铵碘化物)  3-甲基十二烷基硫甲基吡啶鎓氯化物  21,22-二氢-21,22-二羟基番木鳖碱-10...  3-羟基-4-[[1-(磺酸基甲基)-2-萘基]偶...  1,4-苯二甲酸与1,4-环己烷二甲醇,2,2-二...  5,5'-亚甲基二(1,3-亚苯基二胺)  甲醛与1,3-苯二胺,(氯甲基)环氧乙烷,4,4'...  2-甲氧基乙基12-(乙酰氧基)硬脂酸酯  3,5,8-三羟基-7,4'-二甲氧基黄酮  长春考酯  环(氨基庚酸-环(半胱氨酰-苯丙氨酰-D-色氨酰-...  抑肽基-精氨酸甲酯  谷氨酰-抑肽基  天冬氨酰-抑肽基  胆绿素XIIIgamma