Online Database of Chemicals from Around the World

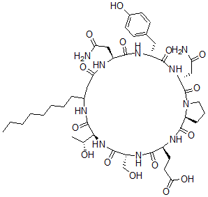
3-[(3R,6R,9S,16S,19R,22S,25S)-3,9-二(2-氨基-2-氧代乙基)-16-(1-羟基乙基)-19-(羟基甲基)-6-[(4-羟基苯基)甲基]-13-辛基-2,5,8,11,15,18,21,24-八氧代-1,4,7,10,14,17,20,23-八氮杂双环[23.3.0]二十八烷-22-基]丙酸
[CAS# 76012-17-4]

供应商
CAS#: 76012-17-4
产品: 3-[(3R,6R,9S,16S,19R,22S,25S)-3,9-二(2-氨基-2-氧代乙基)-16-(1-羟基乙基)-19-(羟基甲基)-6-[(4-羟基苯基)甲基]-13-辛基-2,5,8,11,15,18,21,24-八氧代-1,4,7,10,14,17,20,23-八氮杂双环[23.3.0]二十八烷-22-基]丙酸
暂时没有厂家供应该产品。
基本信息
产品名称 3-[(3R,6R,9S,16S,19R,22S,25S)-3,9-二(2-氨基-2-氧代乙基)-16-(1-羟基乙基)-19-(羟基甲基)-6-[(4-羟基苯基)甲基]-13-辛基-2,5,8,11,15,18,21,24-八氧代-1,4,7,10,14,17,20,23-八氮杂双环[23.3.0]二十八烷-22-基]丙酸
英文名 3-[(3R,6R,9S,16S,19R,22S,25S)-3,9-Bis(2-Amino-2-Oxoethyl)-16-(1-Hydroxyethyl)-19-(Hydroxymethyl)-6-[(4-Hydroxyphenyl)Methyl]-13-Octyl-2,5,8,11,15,18,21,24-Octaoxo-1,4,7,10,14,17,20,23-Octazabicyclo[23.3.0]Octacosan-22-Yl]Propanoic Acid
别名 3-[(3R,6R,9S,16S,19R,22S,25S)-3,9-Bis(2-Amino-2-Oxo-Ethyl)-16-(1-Hydroxyethyl)-19-(Hydroxymethyl)-6-[(4-Hydroxyphenyl)Methyl]-13-Octyl-2,5,8,11,15,18,21,24-Octaoxo-1,4,7,10,14,17,20,23-Octazabicyclo[23.3.0]Octacosan-22-Yl]Propanoic Acid; 3-[(3R,6R,9S,16S,19R,22S,25S)-3,9-Bis(2-Amino-2-Keto-Ethyl)-6-(4-Hydroxybenzyl)-16-(1-Hydroxyethyl)-2,5,8,11,15,18,21,24-Octaketo-19-Methylol-13-Octyl-1,4,7,10,14,17,20,23-Octazabicyclo[23.3.0]Octacosan-22-Yl]Propionic Acid; Bacillomycin D
分子结构 CAS 登录号:76012-17-4, 3-[(3R,6R,9S,16S,19R,22S,25S)-3,9-二(2-氨基-2-氧代乙基)-16-(1-羟基乙基)-19-(羟基甲基)-6-[(4-羟基苯基)甲基]-13-辛基-2,5,8,11,15,18,21,24-八氧代-1,4,7,10,14,17,20,23-八氮杂双环[23.3.0]二十八烷-22-基]丙酸
分子式 C45H68N10O15
分子量 989.09
CAS 登录号 76012-17-4
分子行输入简码 SMILES [C@@H]13N(C(=O)[C@H](NC(=O)[C@H](NC(=O)[C@@H](NC(=O)CC(NC(=O)[C@@H](NC(=O)[C@H](NC(=O)[C@@H](NC1=O)CCC(O)=O)CO)[C@H](O)C)CCCCCCCC)CC(=O)N)CC2=CC=C(O)C=C2)CC(=O)N)CCC3
国际化学标识码 InChI 1S/C45H68N10O15/c1-3-4-5-6-7-8-10-26-20-36(61)49-30(21-34(46)59)41(66)51-29(19-25-12-14-27(58)15-13-25)40(65)52-31(22-35(47)60)45(70)55-18-9-11-33(55)43(68)50-28(16-17-37(62)63)39(64)53-32(23-56)42(67)54-38(24(2)57)44(69)48-26/h12-15,24,26,28-33,38,56-58H,3-11,16-23H2,1-2H3,(H2,46,59)(H2,47,60)(H,48,69)(H,49,61)(H,50,68)(H,51,66)(H,52,65)(H,53,64)(H,54,67)(H,62,63)/t24-,26?,28+,29-,30+,31-,32-,33+,38+/m1/s1
国际化学标识检索码 InChIKey VLKSXJAPRDAENT-OWGHDAAGSA-N
物理化学性质
密度 1.401g/cm3 (计算值)
沸点 1536.586°C at 760 mmHg (计算值)
闪点 883.095°C (计算值)
市场分析报告
请浏览3-[(3R,6R,9S,16S,19R,22S,25S)-3,9-二(2-氨基-2-氧代乙基)-16-(1-羟基乙基)-19-(羟基甲基)-6-[(4-羟基苯基)甲基]-13-辛基-2,5,8,11,15,18,21,24-八氧代-1,4,7,10,14,17,20,23-八氮杂双环[23.3.0]二十八烷-22-基]丙酸市场分析报告总目录
相关产品
(8aS-(8aalpha,9Abeta,10Ab...  4-氨基-2-[[2-(2,4-二氨基丁酰基氨基)...  5-(3-二甲基氨基亚丙基)苯并呋喃并(2,3-c...  N-[4-(吖啶-9-基氨基)苯基]苯甲酰胺  4-[(3-氨基吖啶-9-基)氨基]苯酚  N'-(4-氨基苯基)吖啶-3,9-二胺  4-[(3-氨基吖啶-9-基)氨基]苯磺酰胺  N-[4-[(3-氨基吖啶-9-基)氨基]苯基]苯...  N-[4-[(3,6-二氨基吖啶-9-基)氨基]苯...  汉肌松  N,N'-二甲基-N,N'-二亚硝基草酰胺  溴二乙基铝  5,8-二甲氧基-1,2,3,4-四氢异喹啉  4-(喹啉-2-基亚肼基)环己-2,5-二烯-1-...  1-环己基丙-2-醇