Online Database of Chemicals from Around the World

O-(N-乙酰基-alpha-神经胺酰基)-(2→6)-O-beta-D-吡喃半乳糖基-(1→4)-O-2-(乙酰氨基)-2-脱氧-beta-D-吡喃葡萄糖基-(1→2)-O-alpha-D-甘露糖基-(1→3)-O-[O-(N-乙酰基-alpha-神经胺酰基)-(2→6)-O-beta-D-吡喃半乳糖基-(1→4)-O-2-(乙酰氨基)-2-脱氧-beta-D-吡喃葡萄糖基-(1→2)-alpha-D-甘露糖基-(1→6)]-O-beta-D-甘露糖基-(1→4)-O-2-(乙酰氨基)-2-脱氧-beta-D-吡喃葡萄糖基-(1→4)-2-(乙酰氨基)-2-脱氧-D-葡萄糖
[CAS# 1125602-44-9]

基本信息
英文名 O-(N-Acetyl-alpha-neuraminosyl)-(2→6)-O-beta-D-galactopyranosyl-(1→4)-O-2-(acetylamino)-2-deoxy-beta-D-glucopyranosyl-(1→2)-O-alpha-D-mannopyranosyl-(1→3)-O-[O-(N-acetyl-alpha-neuraminosyl)-(2→6)-O-beta-D-galactopyranosyl-(1→4)-O-2-(acetylamino)-2-deoxy-beta-D-glucopyranosyl-(1→2)-alpha-D-mannopyranosyl-(1→6)]-O-beta-D-mannopyranosyl-(1→4)-O-2-(acetylamino)-2-deoxy-beta-D-glucopyranosyl-(1→4)-2-(acetylamino)-2-deoxy-D-glucose
别名 Neu5Acalpha2-6Galbeta1-4GlcNAcbeta1-2Manalpha1-3(Neu5Acalpha2-3Galbeta1-4GlcNAcbeta1-2Manalpha1-6)Manbeta1-4GlcNAcbeta1-4GlcNAc
产品名称 O-(N-乙酰基-alpha-神经胺酰基)-(2→6)-O-beta-D-吡喃半乳糖基-(1→4)-O-2-(乙酰氨基)-2-脱氧-beta-D-吡喃葡萄糖基-(1→2)-O-alpha-D-甘露糖基-(1→3)-O-[O-(N-乙酰基-alpha-神经胺酰基)-(2→6)-O-beta-D-吡喃半乳糖基-(1→4)-O-2-(乙酰氨基)-2-脱氧-beta-D-吡喃葡萄糖基-(1→2)-alpha-D-甘露糖基-(1→6)]-O-beta-D-甘露糖基-(1→4)-O-2-(乙酰氨基)-2-脱氧-beta-D-吡喃葡萄糖基-(1→4)-2-(乙酰氨基)-2-脱氧-D-葡萄糖
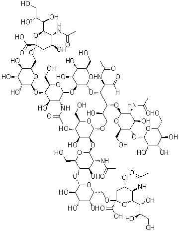
分子结构 CAS 登录号:1125602-44-9 (71496-55-4), O-(N-乙酰基-alpha-神经胺酰基)-(2→6)-O-beta-D-吡喃半乳糖基-(1→4)-O-2-(乙酰氨基)-2-脱氧-beta-D-吡喃葡萄糖基-(1→2)-O-alpha-D-甘露糖基-(1→3)-O-[O-(N-乙酰基-alpha-神经胺酰基)-(2→6)-O-beta-D-吡喃半乳糖基-(1→4)-O-2-(乙酰氨基)-2-脱氧-beta-D-吡喃葡萄糖基-(1→2)-alpha-D-甘露糖基-(1→6)]-O-beta-D-甘露糖基-(1→4)-O-2-(乙酰氨基)-2-脱氧-beta-D-吡喃葡萄糖基-(1→4)-2-(乙酰氨基)-2-脱氧-D-葡萄糖
分子式 C84H138N6O62
分子量 2224.00
CAS 登录号 1125602-44-9 (71496-55-4)
物理化学性质
密度 1.76±0.1 g/cm3 (20 ºC 760 torr), 计算值*
* 使用计算软件 Advanced Chemistry Development (ACD/Labs) V11.02 (©1994-2016 ACD/Labs)
市场分析报告
请浏览O-(N-乙酰基-alpha-神经胺酰基)-(2→6)-O-beta-D-吡喃半乳糖基-(1→4)-O-2-(乙酰氨基)-2-脱氧-beta-D-吡喃葡萄糖基-(1→2)-O-alpha-D-甘露糖基-(1→3)-O-[O-(N-乙酰基-alpha-神经胺酰基)-(2→6)-O-beta-D-吡喃半乳糖基-(1→4)-O-2-(乙酰氨基)-2-脱氧-beta-D-吡喃葡萄糖基-(1→2)-alpha-D-甘露糖基-(1→6)]-O-beta-D-甘露糖基-(1→4)-O-2-(乙酰氨基)-2-脱氧-beta-D-吡喃葡萄糖基-(1→4)-2-(乙酰氨基)-2-脱氧-D-葡萄糖市场分析报告总目录
相关产品
(S)-N-乙酰基-beta-萘基丙氨酸  (R)-N-乙酰基-beta-萘基丙氨酸  8-乙酰基新茄镰孢菌醇  N-乙酰神经氨酸  N-乙酰基-alpha-神经氨酸 7-乙酸酯 2-(5'-胞苷酸氢酯)  N-乙酰神经氨酸甲酯  O-(N-乙酰基-alpha-神经胺酸基)-(2→8)-O-(N-乙酰基-alpha-神经胺酸基)-(2→3)-O-[O-(N-乙酰基-alpha-神经胺酸基)-(2→3)-O-beta-D-吡喃半乳糖基-(1→3)-2-(乙酰氨基)-2-脱氧-beta-D-吡喃半乳糖基-(1→4)]-O-beta-D-吡喃半乳糖基-(1→4)-D-葡萄糖  O-(N-乙酰基-alpha-神经胺酸基)-(2→3)-O-[O-(N-乙酰基-alpha-神经胺酸基)-(2→3)-O-beta-D-吡喃半乳糖基-(1→3)-2-(乙酰氨基)-2-脱氧-beta-D-吡喃半乳糖基-(1→4)]-O-beta-D-吡喃半乳糖基-(1→4)-D-葡萄糖  O-(N-乙酰基-alpha-神经胺酸基)-(2→6)-O-[O-6-脱氧-alpha-L-吡喃半乳糖基-(1→2)-beta-D-吡喃半乳糖基-(1→3)]-O-2-(乙酰氨基)-2-脱氧-beta-D-吡喃葡萄糖基-(1→3)-O-beta-D-吡喃半乳糖基-(1→4)-D-葡萄糖  O-(N-乙酰基-alpha-神经胺酸基)-(2→6)-O-beta-D-吡喃半乳糖基-(1→4)-2-(乙酰氨基)-2-脱氧-D-半乳糖  (3aS,4S,6aR)-N-[6-[[3-[[O-(N-乙酰基-alpha-神经胺酸基)-(2→6)-O-beta-D-吡喃半乳糖基-(1→4)-2-(乙酰氨基)-2-脱氧-beta-D-吡喃葡萄糖基]氧基]丙基]氨基]-6-氧代己基]六氢-2-氧代-1H-噻吩并[3,4-d]咪唑-4-戊酰胺  (3aS,4S,6aR)-N-[6-[[3-[[O-(N-乙酰基-alpha-神经胺酸基)-(2→3)-O-beta-D-吡喃半乳糖基-(1→3)-2-(乙酰氨基)-2-脱氧-D-吡喃葡萄糖基]氧基]丙基]氨基]-6-氧代己基]六氢-2-氧代-1H-噻吩并[3,4-d]咪唑-4-戊酰胺  (3aS,4S,6aR)-N-[6-[[3-[[O-(N-乙酰基-alpha-神经胺酸基)-(2→3)-O-alpha-D-吡喃半乳糖基-(1→3)-O-[6-脱氧-alpha-L-吡喃半乳糖基-(1→4)]-2-(乙酰氨基)-2-脱氧-beta-D-吡喃葡萄糖基]氧基]丙基]氨基]-6-氧代己基]六氢-2-氧代-1H-噻吩并[3,4-d]咪唑-4-戊酰胺  [3aS-(3aalpha,4beta,6aalpha)]-N-[6-[[O-(N-乙酰基-alpha-神经胺酸基)-(2→3)-O-beta-D-吡喃半乳糖基-(1→4)-D-吡喃葡萄糖基]氨基]-6-氧代己基]六氢-2-氧代-1H-噻吩并[3,4-d]咪唑-4-戊酰胺  (2-乙酰基-4-甲基戊基)三甲基碘化铵  2-乙酰基-6-甲基苯酚  N-乙酰基-4-[5-(4-甲基苯基)-3-三氟甲基-1H-吡唑-1-基]苯磺酰胺  1-乙酰基-N-甲基-4-哌啶胺单盐酸盐  3-乙酰基-6-甲基-2H-吡喃-2,4(3H)-二酮钠盐一水合物  2-乙酰基-3-甲基吡嗪