Online Database of Chemicals from Around the World

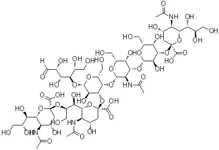
O-(N-乙酰基-alpha-神经胺酸基)-(2→8)-O-(N-乙酰基-alpha-神经胺酸基)-(2→3)-O-[O-(N-乙酰基-alpha-神经胺酸基)-(2→3)-O-beta-D-吡喃半乳糖基-(1→3)-2-(乙酰氨基)-2-脱氧-beta-D-吡喃半乳糖基-(1→4)]-O-beta-D-吡喃半乳糖基-(1→4)-D-葡萄糖
[CAS# 75663-36-4]

基本信息
英文名 O-(N-Acetyl-alpha-neuraminosyl)-(2→8)-O-(N-acetyl-alpha-neuraminosyl)-(2→3)-O-[O-(N-acetyl-alpha-neuraminosyl)-(2→3)-O-beta-D-galactopyranosyl-(1→3)-2-(acetylamino)-2-deoxy-beta-D-galactopyranosyl-(1→4)]-O-beta-D-galactopyranosyl-(1→4)-D-glucose
产品名称 O-(N-乙酰基-alpha-神经胺酸基)-(2→8)-O-(N-乙酰基-alpha-神经胺酸基)-(2→3)-O-[O-(N-乙酰基-alpha-神经胺酸基)-(2→3)-O-beta-D-吡喃半乳糖基-(1→3)-2-(乙酰氨基)-2-脱氧-beta-D-吡喃半乳糖基-(1→4)]-O-beta-D-吡喃半乳糖基-(1→4)-D-葡萄糖
分子结构 CAS 登录号:75663-36-4, O-(N-乙酰基-alpha-神经胺酸基)-(2→8)-O-(N-乙酰基-alpha-神经胺酸基)-(2→3)-O-[O-(N-乙酰基-alpha-神经胺酸基)-(2→3)-O-beta-D-吡喃半乳糖基-(1→3)-2-(乙酰氨基)-2-脱氧-beta-D-吡喃半乳糖基-(1→4)]-O-beta-D-吡喃半乳糖基-(1→4)-D-葡萄糖
分子式 C59H96N4O45
分子量 1581.39
CAS 登录号 75663-36-4
物理化学性质
密度 1.77±0.1 g/cm3 (20 ºC 760 torr), 计算值*
* 使用计算软件 Advanced Chemistry Development (ACD/Labs) V11.02 (©1994-2016 ACD/Labs)
市场分析报告
请浏览O-(N-乙酰基-alpha-神经胺酸基)-(2→8)-O-(N-乙酰基-alpha-神经胺酸基)-(2→3)-O-[O-(N-乙酰基-alpha-神经胺酸基)-(2→3)-O-beta-D-吡喃半乳糖基-(1→3)-2-(乙酰氨基)-2-脱氧-beta-D-吡喃半乳糖基-(1→4)]-O-beta-D-吡喃半乳糖基-(1→4)-D-葡萄糖市场分析报告总目录
相关产品
N-(N-乙酰基胞壁酸)-L-苏氨酰-D-alpha-谷氨酰胺  4-乙酰基萘-1-羧酸  N-乙酰基-3-(2-萘基)-D-丙氨酰-4-氯-D-苯丙氨酰-3-(3-吡啶基)-D-丙氨酰-L-丝氨酰-N-甲基-L-酪氨酰-N6-(氨基羰基)-D-赖氨酰-L-正亮氨酰-L-精氨酰-L-脯氨酰-D-丙氨酰胺乙酸盐  6-乙酰基-2-萘酚  (S)-N-乙酰基-beta-萘基丙氨酸  (R)-N-乙酰基-beta-萘基丙氨酸  8-乙酰基新茄镰孢菌醇  N-乙酰神经氨酸  N-乙酰基-alpha-神经氨酸 7-乙酸酯 2-(5'-胞苷酸氢酯)  N-乙酰神经氨酸甲酯  O-(N-乙酰基-alpha-神经胺酸基)-(2→3)-O-[O-(N-乙酰基-alpha-神经胺酸基)-(2→3)-O-beta-D-吡喃半乳糖基-(1→3)-2-(乙酰氨基)-2-脱氧-beta-D-吡喃半乳糖基-(1→4)]-O-beta-D-吡喃半乳糖基-(1→4)-D-葡萄糖  O-(N-乙酰基-alpha-神经胺酸基)-(2→6)-O-[O-6-脱氧-alpha-L-吡喃半乳糖基-(1→2)-beta-D-吡喃半乳糖基-(1→3)]-O-2-(乙酰氨基)-2-脱氧-beta-D-吡喃葡萄糖基-(1→3)-O-beta-D-吡喃半乳糖基-(1→4)-D-葡萄糖  O-(N-乙酰基-alpha-神经胺酸基)-(2→6)-O-beta-D-吡喃半乳糖基-(1→4)-2-(乙酰氨基)-2-脱氧-D-半乳糖  O-(N-乙酰基-alpha-神经胺酰基)-(2→6)-O-beta-D-吡喃半乳糖基-(1→4)-O-2-(乙酰氨基)-2-脱氧-beta-D-吡喃葡萄糖基-(1→2)-O-alpha-D-甘露糖基-(1→3)-O-[O-(N-乙酰基-alpha-神经胺酰基)-(2→6)-O-beta-D-吡喃半乳糖基-(1→4)-O-2-(乙酰氨基)-2-脱氧-beta-D-吡喃葡萄糖基-(1→2)-alpha-D-甘露糖基-(1→6)]-O-beta-D-甘露糖基-(1→4)-O-2-(乙酰氨基)-2-脱氧-beta-D-吡喃葡萄糖基-(1→4)-2-(乙酰氨基)-2-脱氧-D-葡萄糖  (3aS,4S,6aR)-N-[6-[[3-[[O-(N-乙酰基-alpha-神经胺酸基)-(2→6)-O-beta-D-吡喃半乳糖基-(1→4)-2-(乙酰氨基)-2-脱氧-beta-D-吡喃葡萄糖基]氧基]丙基]氨基]-6-氧代己基]六氢-2-氧代-1H-噻吩并[3,4-d]咪唑-4-戊酰胺  (3aS,4S,6aR)-N-[6-[[3-[[O-(N-乙酰基-alpha-神经胺酸基)-(2→3)-O-beta-D-吡喃半乳糖基-(1→3)-2-(乙酰氨基)-2-脱氧-D-吡喃葡萄糖基]氧基]丙基]氨基]-6-氧代己基]六氢-2-氧代-1H-噻吩并[3,4-d]咪唑-4-戊酰胺  (3aS,4S,6aR)-N-[6-[[3-[[O-(N-乙酰基-alpha-神经胺酸基)-(2→3)-O-alpha-D-吡喃半乳糖基-(1→3)-O-[6-脱氧-alpha-L-吡喃半乳糖基-(1→4)]-2-(乙酰氨基)-2-脱氧-beta-D-吡喃葡萄糖基]氧基]丙基]氨基]-6-氧代己基]六氢-2-氧代-1H-噻吩并[3,4-d]咪唑-4-戊酰胺  [3aS-(3aalpha,4beta,6aalpha)]-N-[6-[[O-(N-乙酰基-alpha-神经胺酸基)-(2→3)-O-beta-D-吡喃半乳糖基-(1→4)-D-吡喃葡萄糖基]氨基]-6-氧代己基]六氢-2-氧代-1H-噻吩并[3,4-d]咪唑-4-戊酰胺  (2-乙酰基-4-甲基戊基)三甲基碘化铵  2-乙酰基-6-甲基苯酚